sk|en|de|

Částice s nábojem v magnetickém poli

1. Vysvětlete chování částice s nábojem v magnetickém poli!

Řešení:

castica-s-nabojom-v-magnetickom-poli-1.gif 


2.Odvoďte vzorec pro poloměr kruhové trajektorie částice s nábojem v homogenním magnetickém poli!

Řešení:

castica-s-nabojom-v-magnetickom-poli-2.gif


3.Jakou rychlostí se pohyboval proton (mp = 1,673.10–27kg, Qp = 1,602.10-19C) v magnetickém poli (B = 1T), pokud byla jeho trajektorie kružnice o poloměru r = 60cm. Jakou frekvencí obíhal proton po kružnici?

Řešení:

Rozbor:

mp = 1,673.10–27kg, Qp = 1,602.10-19C,  B = 1T, r = 60cm = 0,6m,  v = ?,  f = ?

castica-s-nabojom-v-magnetickom-poli-3.gif 

Rychlost protonu v magnetickém poli byla 5,75.107m.s-1, jeho frekvence f = 15,26 MHz.


4.Jakou kinetickou energii má proton (mp = 1,673.10-27kg, Qp = 1,602.10-19C), který se pohybuje po kružnici o poloměru r = 10cm v homogenním magnetickém poli s B = 0,1T, kolmo na indukční čáry.

Řešení:

Rozbor:

mp = 1,673.10-27kg, Qp = 1,602.10-19C,  r = 10cm = 0,1m,  B = 0,1T,  Ek = ?

castica-s-nabojom-v-magnetickom-poli-4.gif 

Kinetická energie protonu je Ek = 7,677.10–16J.


5.Elektron (me = 9,1.10–31kg, Qe = 1,602.10–19C) po urychlení v elektrickém poli s U = 100V vlétne do homogenního magnetického pole s B = 10mT kolmo na indukční čáry. Po jaké trajektorii se bude elektron pohybovat?

Řešení:

Rozbor:

me = 9,1.10–31kg, Qe = 1,602.10–19C,  U = 100V,  B = 10mT =10–2T

castica-s-nabojom-v-magnetickom-poli-5.gif 

Elektron se bude pohybovat po kružnici o poloměru r = 3,37mm.


6.Jakou velikost musí mít magnetická indukce homogenního magnetického pole, aby se v něm elektron pohyboval po kružnici o poloměru r = 40cm rychlostí v = 3,8.107m.s-1. Jaká bude kinetická energie elektronu?

Řešení:

Rozbor:

r = 40cm = 0,4m,  v = 3,8.107m.s-1,  me = 9,1.10–31kg,  Q = e = 1,602.10–19C

castica-s-nabojom-v-magnetickom-poli-6.gif 

  • Magnetická indukce musí mít velikost B = 5,4.10–4T.
  • Elektron má kinetickou energii Ek = 6,57.10–16J.


7.Jakou rychlostí by se musel pohybovat proton (mp = 1,673.10–27kg, Qp = 1,602.10–19C) v magnetickém poli Země (B = 5.10–5T – tabulky) kolmo na indukční čáry, aby se velikost magnetické síly rovnala velikosti síly, kterou na něj působí tíhová síla?

Řešení:

Rozbor:

B(Země) = 5.10–5T,  mp = 1,673.10–27kg,  Qp = 1,602.10–19C,  g = 10m.s-2

 castica-s-nabojom-v-magnetickom-poli-7.gif

V magnetickém poli Země by se musel proton pohybovat rychlostí v = 2,1.10-3m.s–1.


8.Do homogenního magnetického pole s B = 2.10–5T ve vakuu vlétl proton ( mp = 1,673.10–27kg, Qp = 1,602.10-19C) ve směru kolmém na indukční čáry. Jaká bude frekvence jeho pohybu po kružnici?

Řešení:

Rozbor:

2.10–5T,  mp = 1,673.10–27kg, Qp = 1,602.10-19C,  f = ?

castica-s-nabojom-v-magnetickom-poli-8.gif 

Kontrolu jednotek proveďte sami.

Frekvence pohybu elektronu po kružnici bude f = 300Hz.


9.Dva elektrony pohybující se stejnými rychlostmi vlétly do dvou homogenních magnetických polí (B1 = 0,1T, B2 = 0,2T) a začaly se pohybovat po kruhových trajektoriích. Určete poměr jejich oběžných dob (period) T1 : T2.

Řešení:

Rozbor:

B1 = 0,1T, B2 = 0,2T,  T1 : T2 = ?

 castica-s-nabojom-v-magnetickom-poli-9.gif

Poměr period dvou elektronů je T1 : T2 = 2 : 1


10.Elektron se začal pohybovat z klidu a po průchodu rozdílem potenciálů 220V vlétl kolmo na indukční čáry do homogenního magnetického pole magnetické indukce 5mT. V magnetickém poli se elektron pohyboval po kruhové trajektorii o poloměru 1cm. Určete hmotnost elektronu.

Řešení:

Rozbor:

U = 220V,  B = 5.10–3T,  r = 1.10–2m,  Q = e =1,602.10–19C,  me = ?

 castica-s-nabojom-v-magnetickom-poli-10.gif

Hmotnost elektronu je me = 9,1.10–31kg.


11.Proton se pohybuje v homogenním magnetickém poli. Velikost magnetické indukce pole je B = 15mT, hmotnost protonu mp = 1,67.10–27kg, jeho náboj Qp = 1,602.10–19C. Určete poloměr jeho kruhové dráhy r, pokud je rychlost protonu v = 2.106m.s-1.

Řešení:

castica-s-nabojom-v-magnetickom-poli-11 

Poloměr kruhové dráhy protonu je r = 1,4m.


12.Částice, jejíž náboj je Q = 1,602.10-19C, vlétla do homogenního magnetického pole s magnetickou indukcí B = 10-2T. V tomto magnetickém poli se pohybuje po kružnici o poloměru r = 0,45.10-2m. Určete velikost hybnosti částice.

Řešení:

castica-s-nabojom-v-magnetickom-poli-12 

Velikost hybnosti částice je p = 7,2.10–24kg.m.s–1.


13.Proton se pohybuje rychlostí v = 1.106m.s-1 v homogenním magnetickém poli s magnetickou indukcí B = 1T.

  • a.) Jaká síla působí na proton (mp = 1,673.10–27kg, QP = 1,602.10–19C)
  • b.) Po jaké trajektorii se bude proton pohybovat?

Řešení:

castica-s-nabojom-v-magnetickom-poli-13 

  • Na proton působí síla Fm = 1,602.10–13N. 
  • Proton se bude pohybovat po kružnici o poloměru r = 1,044cm. 

14.Elektron po urychlení v elektrickém poli s U = 100V vlétne do homogenního magnetického pole s magnetickou indukcí B = 10mT kolmo na indukční čáry. Po jaké trajektorii se bude pohybovat?

Řešení:

castica-s-nabojom-v-magnetickom-poli-14 

 Elektron se bude pohybovat po kružnici o poloměru r = 3,4mm rychlostí  v = 6.106m.s-1.


15.Jaké musí být napětí mezi anodou a katodou ve skleněné trubici, aby svítící kruhová stopa vyznačující trajektorii elektronů v trubici měla poloměr r = 5.10-2 m. Indukce magnetického pole v trubici je B = 8,2.10-4T.

Řešení:

castica-s-nabojom-v-magnetickom-poli-15 

Napětí mezi anodou a katodou je U = 148V.


16.Částice α se pohybuje po kruhové dráze o poloměru r = 4,5cm v homogenním magnetickém poli s magnetickou indukcí B = 1,2T. Vypočítejte

  • a.)  její rychlost
  • b.)  její periodu pohybu

Řešení:

castica-s-nabojom-v-magnetickom-poli-16 

Rychlost částice α je v = 2,6.106m.s–1, její perioda je T = 10,86.10–8s–1.


17.Svazek protonů se pohybuje ve vakuové trubici tak, že jejich rychlost je v = 0,1c. Elektrostatická síla

Fe = 3.10–13N.

  •  a.)  Jakou hodnotu má poměr E/B, pokud je výsledná síla působící na proton nulová
  •  b.)  Jakou velikost má magnetická indukce B

Řešení:

 castica-s-nabojom-v-magnetickom-poli-17

Poměr E/B = v. Magnetická indukce je B = 0,062T.


18.Mezi anodou a katodou elektronového děla ve vakuované katodové trubici letí elektrony rychlostí v 9,19.106m.s-1. Vzájemná vzdálenost destiček je d = 1cm s napětím U = 10V. Vypočítejte velikost magnetické indukce B homogenního magnetického pole, při které se elektrony nebudou odchylovat od osy trubice.

Řešení:

 castica-s-nabojom-v-magnetickom-poli-18

Velikost magnetické indukce je B = 0,11 mT.


19.Proton a částice α (mHe = 4.mp, QHe=2.Qp) vlétli do homogenního magnetického pole kolmo na indukční čáry. Porovnejte poloměry kruhových trajektorií částic, pokud mají částice stejnou rychlost.

Řešení:

 castica-s-nabojom-v-magnetickom-poli-19

Poloměr trajektorie částice α je dvakrát větší než poloměr trajektorie protonu.


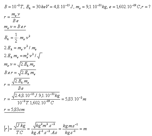
20.Do homogenního magnetického pole s B = 10mT vlétl kolmo na indukční čáry elektron s kinetickou energií Ek = 30 keV. Určete poloměr kruhové trajektorie elektronu r.

Řešení:

 castica-s-nabojom-v-magnetickom-poli-20

 Poloměr kruhové trajektorie elektronu je r = 5,83 cm.