sk|en|de|

Fotometrie

1. Které jsou důležité pojmy fotometrie?

Řešení:

fyzika-fotometria-1.gif


2.Definujte:

  • kandelu
  • lumen
  • lux

Řešení:

  • Jedna kandela (cd) je 1/600 000 z m2 povrchu absolutně černého tělesa při teplotě tuhnutí platiny (1773 °C) za normálního tlaku (101 325 Pa). Absolutně černé těleso je fiktivní těleso, které by veškeré dopadající záření pohlcovalo.
  • Jeden lumen (lm) je světelný tok, který vyzařuje bodový zdroj o svítivosti jedné kandely do prostorového úhlu jednoho steradiánu.
  • Plocha má osvětlení jeden lux (lx), jestliže na 1 m2 této plochy dopadá světelný tok jeden lumen.

3. Lidské oko vnímá světelný vjem při minimálním osvětlení sítnice E = 2·10-9 lx. Z jaké maximální vzdálenosti za ideálních podmínek (absolutní tma) můžeme pozorovat plamen svíčky se svítivostí I = 1 cd.

Řešení:

Rozbor:

fyzika-fotometria-3.gif 

Plamen svíčky můžeme pozorovat z maximální vzdálenosti 22,4 km.


4.Fotometr je osvětlen z jedné strany žárovkou I1 = 50 cd, která je od fotometru vzdálená r1 = 0,6 m. Na druhé straně je ve vzdálenosti r2 = 0,96 m žárovka neznámé svítivosti (I2 =?). Jaká je její svítivost, je-li fotometr z obou stran stejně osvětlen?

Řešení:

Rozbor:

 fyzika-fotometria-4.gif

Svítivost druhé žárovky je I2 = 128 cd.


5.Nad stolem kruhové desky s poloměrem r = 0,8 m visí ve výšce h1 = 2 m žárovka svítivosti I = 50 cd. Určete osvětlení

  • a) středu desky
  • b) okraje desky

Řešení:

Rozbor:

I = 50 cd,  r = 0,8 m,  h1 = 2 m,  h2 =? = vzdálenost žárovky od okraje desky. Veličiny r, h1, h2 tvoří pravoúhlý trojúhelník s přeponou h2. Úhel α je ostrý úhel proti odvěsně r.

 fyzika-fotometria-5.gif

Osvětlení středu desky je 12,5 luxu, okraje desky 10 luxů.


6.Dvě žárovky se svítivostí I1 = 80 cd a I2 = 200 cd jsou umístěny ve výšce h = 2,5 m nad vodorovnou deskou stolu. Jejich vzájemná vzdálenost je d = 3 m. Jaké je osvětlení stolu v místě, kde dopadají paprsky z první žárovky?

Řešení:

Rozbor:

 fyzika-fotometria-6.gif

Výsledné osvětlení od obou žárovek je E = 22,8 luxu.


7. Osvětlení vodorovného povrchu Země při výšce Slunce nad horizontem 45 ° je E1 = 80 000 lx. Určete osvětlení povrchu Země při výšce Slunce nad horizontem 25 °.

Řešení:

Rozbor:

fyzika-fotometria-7.gif

Osvětlení povrchu Země při výšce Slunce nad horizontem 25 ° je 47 800 luxů.


8. Stěna je osvětlena dvěma stejnými svíčkami postavenými těsně vedle sebe ve vzdálenosti 0,8 m od stěny. O jakou vzdálenost x je třeba přiblížit ke stěně svíčku, jestliže jedna zhasla (I2 = 0), aby byla stěna osvětlena stejně jako předtím?

Řešení:

Rozbor:

fyzika-fotometria-8.gif

Svíčku je třeba ke stěně přiblížit o 23 cm.


9.Kruhová plocha s poloměrem r = 3 m je osvětlena reflektorem ze vzdálenosti h = 60 m. Osvětlení plochy je E = 4 lx. Vypočítejte:

  • a) svítivost zdroje
  • b) světelný tok dopadající na plochu

Řešení:

Rozbor:

fyzika-fotometria-9.gif

Svítivost reflektoru je I = 1,44 cd, světelný tok Ф = 113 lm. 


10. Dva světelné zdroje se svítivostí I1 = 25 cd a I2 = 49 cd jsou umístěny ve vzdálenosti d = 1 m. V kterém místě jejich spojnice musí být postaveno stínítko, aby bylo osvětleno stejně oběma zdroji? (I2 je vlevo od I1)

Řešení:

Rozbor:

 fyzika-fotometria-10.gif

Pro postavení stínítka jsou dvě možnosti:

  • 0,42 m od I1 a 0,58 m od I2,
  • -2,5 m od I1 (vpravo od I2) a 3,5 m od I2.


11.Vyjádřete jednotky pro světelný tok Ф, osvětlení E a svítivost I pomocí základních jednotek SI.

Řešení:

fotometria-11.gif


12.Vypočítejte, v jaké vzdálenosti má být umístěna lampa svítivosti 10 cd, jestliže je na pracovním stole potřebné osvětlení 200 lx a světlo dopadá pod úhlem 60 °.

Řešení:

 fotometria-12.gif

Lampa má být umístěna 50 cm nad stolem.


13.Ve výšce h = 4 m nad vodorovnou rovinou podlahy je bodový zdroj světla se svítivostí I = 100 cd. Určete osvětlení roviny v bodě A, který je ve vzdálenosti AB = l = 20 m od stopy paprsku, jenž dopadl ze zdroje na rovinu kolmo.

Řešení:

 fotometria-13

Osvětlení v bodě A je EA = 0,05 lx.


14.Nad stolem čtvercového tvaru s úhlopříčkou u = 2,12 m visí ve výšce h = 1 m lampa. Kolikrát menší osvětlení bude ve středu stolu, zavěsíme-li tuto lampu ve stejné výšce nad jedním rohem stolu?

Řešení:

 fotometria-14

Osvětlení středu stolu se zmenší 3,11krát.


15.Která lampa dá větší osvětlení? Lampa o svítivosti 50 cd ve vzdálenosti 50 cm, nebo lampa o svítivosti 200 cd ve vzdálenosti 200 cm?

Řešení:

fotometria-15 

První lampa dá čtyřikrát větší osvětlení než druhá lampa.


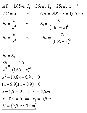
16.V bodech A, B, které jsou od sebe vzdáleny 165 cm, jsou bodové světelné zdroje o svítivosti 36 cd a 25 cd. V kterých bodech na spojnici AB kolmo postavené stínítko je od obou zdrojů stejně osvětleno?

Řešení:

 fotometria-16

  • Stínítko je od obou zdrojů stejně osvětleno v bodech x1 = 9,9 m
  • nebo x2 = 0,9 m.

17.Bodový zdroj má ve všech směrech svítivost I = 100 cd. Vypočítejte celkový světelný tok a osvětlení plochy kolmé ke směru světla a umístěné ve vzdálenosti 5 m od zdroje.

Řešení:

fotometria-17 

Celkový světelný tok je Ф = 1256 lm, osvětlení je E = 4 lx.


18.Ve středu duté koule je bodový světelný zdroj. Jak se změní osvětlení vnitřní části koule, pokud se poloměr koule dvakrát zvětší?

Řešení:

fotometria-18 

Pokud se poloměr koule zvětší dvakrát, osvětlení se zmenší čtyřikrát.


19.Vypočítejte, jaký světelný tok dopadá na plochu 100 cm2 ze zdroje svítivosti 500 cd, která je postavena kolmo na paprsky ve vzdálenosti 120 cm od zdroje.

Řešení:

fotometria-19 

Světelný tok je Ф = 3,5 lm.


20.Školní chodba má mít v místě kolmo pod zdrojem osvětlení alespoň 32 lx. Výška zdroje nad podlahou je 5 m. Kolik žárovek se svítivostí 200 cd musíme použít?

Řešení:

 fotometria-20

Je třeba použít 4 žárovky se svítivostí 200 cd.