sk|en|de|

Radioaktivita

1. Co je radioaktivita?

Řešení:

Radioaktivita je přeměna (rozpad) jader atomu. Jádro jednoho prvku se postupně mění na stabilní jádro jiného prvku, přičemž se vyzařuje energie. Přirozená radioaktivita (M. Becqerel a P. Curie) je samovolný rozpad málo stabilních jader. Umělá radioaktivita (I. a F. Joliot Curie) vzniká uměle připravenými jadernými reakcemi.

fyzika-radioaktivita-1n.gif 


2.Určete pořadí radioaktivních přeměn v rozpadové řadě thoria.

fyzika-radioaktivita-2z.gif

Řešení:

fyzika-radioaktivita-2r.gif


3. Určete složení jádra izotopu prvku, který vznikne z uranu

fyzika-radioaktivita-3z.gif

Řešení:

fyzika-radioaktivita-3r.gif

Hledaný prvek je izotop radonu. [Zjištěno pomocí tabulek].


4.Doplňte rovnice jaderných reakcí:

fyzika-radioaktivita-4z.gif

Řešení:

fyzika-radioaktivita-4r.gif


5.Zjistěte poločas rozpadu uranu, je-li jeho rozpadová konstanta λ = 4,33.10-4roku-1

Řešení:

Rozbor:

λ = 4,33.10-4roku-1

 fyzika-radioaktivita-5.gif

Za 1600 let se rozpadne právě polovina jader uranu.


6.Nuklid má poločas přeměny 2400 sekund. Kolik procent jader se rozpadne za 300 sekund?

Řešení:

Rozbor:

T = 2400s,  t = 300s,  ln2 = 0,693,  e = 2,718282,  N = ?, N‘ = ?

fyzika-radioaktivita-6.gif 

Za 300 sekund se rozpadne 8,3 % jader.


7.Počet přeměn v 1 gramu radia je 3,7.1010s-1. Určete poločas přeměny

fyzika-radioaktivita-7z.gif

Řešení:

Rozbor:

m = 1g = 10–3kg,  N‘ = 3,7.1010s-1,  A = 226,  mu = 1,6605.10–27kg,  T = ?, 1 rok = 3,15.107s

fyzika-radioaktivita-7.gif 

Poločas rozpadu radia je asi 1587 let.


8.Za jaký čas se přemění polovina jader radionuklidu, je-li jeho rozpadová konstanta λ = 1,42.10–11s-1?

Řešení:

Rozbor:

λ = 1,42.10–11s-11,  1 rok = 3,1536.107s,  ln e = 1,  ln 0,5 = –0,693,  t = ?

fyzika-radioaktivita-8.gif 

Polovina jader radionuklidu se přemění za asi 1550 let.


9. Při určování stáří pohřební lodi z hrobky Sesostrita III. zjistili, že koncentrace uhlíku ve dřevě, z něhož byla loď vyrobena, je přibližně N = 0,645.N0. N0 je koncentrace uhlíku v současných živých organismech. Určete stáří pohřební lodi, je-li poločas rozpadu uhlíku 5730 let.

Řešení:

Rozbor:

N = 0,645.N0,  T = 5730 let,  ln2 =0,693,  t = ?

fyzika-radioaktivita-9.gif 

Sesostritu III. pochovali před 3626 lety.

Byla použita tzv. „uhlíková metoda“ k určení stáří předmětů v archeologii. 


10.V září 1991 objevili turisté v tzalských Alpách v Rakousku ledem mumifikované lidské tělo. Uhlíkovou metodou se zjistilo, že pro nerozpadlá jádra v jeho těle N a jádra v těle současných lidí N platí N = 0,5268N0. Před kolika lety tento člověk zmrzl, když poločas rozpadu uhlíku je T = 5730 let?

Řešení:

Rozbor:

N = 0,5268.N0,  T = 5730 let,  ln2 = 0,693

 fyzika-radioaktivita-10.gif

Člověk v Alpách zmrzl před 5300 lety.


11.Poločas přeměny nuklidu radia je 1622 let. Určete jeho rozpadovou konstantu λ.

Řešení:

radioaktivita-11 

Rozpadová konstanta nuklidu radia je λ = 1,35.10–11s–1.


12.Radium má poločas rozpadu T = 1622 let. Za jaký čas se změní počet jader radia na 0,1 % původního počtu?

Řešení:

radioaktivita-12 

Počet jader radia na 0,1 % původního počtu se změní za 16220 let.


13.V současnosti má 1 g radia 2,68.1021 jader. Kolik bude

  • a.) nerozpadlých jader
  • b.) rozpadlých jader za 4000 let?

Řešení:

 radioaktivita-13

 Nerozpadlých jader bude 0,4853.1021, rozpadlých  2,195.1021.


14.Za dobu 49,2 hod. klesne aktivita radioaktivního sodíku na 0,1 počáteční hodnoty. Jaký je poločas rozpadu tohoto nuklidu?

Řešení:

radioaktivita-14 

Poločas rozpadu nuklidu sodíku je 14 h 48 min.


15.Jádro uranu (Z = 92, A = 238) se postupně dělí na jiná jádra. V této řadě je 8 přeměn α a 6 přeměn β. Jaký je konečný produkt této rozpadové řady.

Řešení:

radioaktivita-15 

Konečným produktem tohoto rozpadu je olovo 20682Pb.


16.Při řetězové reakci neutron dopadající na jádro 23592U vyvolá štěpení  jádra na dvě středně těžká jádra a navíc uvolní několik neutronů. Kolik neutronů se uvolní v následující reakci.

Řešení:

radioaktivita-16 

Při řetězové reakci se uvolní 3 neutrony.


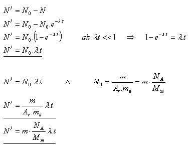
17.Ukažte, že pokud platí λt << 1, můžeme pro výpočet rozpadlých jader použít vztah N/ = N0.λ.t

Řešení:

radioaktivita-17


18.Tenká fólie obsahující 1 gram nuklidu thoria 23290Th , vysílá za 1 sekundu 4100 částic α. Určete poločas přeměny tohoto nuklidu.

Řešení:

radioaktivita-18 

Poločas přeměny nuklidu thoria 23290Th je T = 1,4.1010 let.


19. Kolik % původního množství radioaktivního prvku se rozpadne  za dobu, která se rovná střední době života?

Řešení:

 radioaktivita-19

Za střední dobu života se rozpadne 63 % původního množství radioaktivního  prvku


20.Na začátku 20. století významní fyzikové při svých pokusech zjistili, že stabilní jádro atomu je možné rozbít zásahem zvenčí. Tak byla objevena umělá radioaktivita. Podařilo se  přeměnit dusík na izotop kyslíku,  beryllium na uhlík a našla se metoda přeměnit hliník na fosfor a potom na křemík. Při každém z těchto pokusů byla objevena nová elementární částice.

  • KTERÁ?

Řešení:

radioaktivita-20 

E. Rutherford v roce 1919 objevil proton, J.Chadwick v roce 1932 neutron a C.Anderson v roce 1932 objevil pozitron.