Derivace funkce

1. Zopakujme si najdůležitejší pravidla derivování:

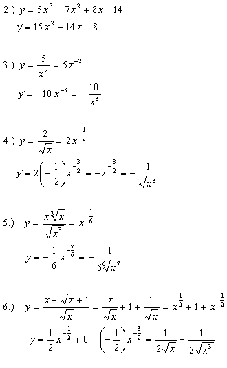
Řešení:
Rozvinutá – explicitní – funkce y = f(x)

derivacia-funkcie-1a

derivacia-funkcie-1b  


2. Derivujte a upravte funkce:

derivacia-funkcie-2z

Řešení:

derivacia-funkcie-2r   


3.  Derivujte a upravte funkce:

derivacia-funkcie-3z

Řešení:

derivacia-funkcie-3r


4. Derivujte a upravte funkce:

derivacia-funkcie-4z
Pro zobrazení řešení se přihlaste.


5.Derivujte a upravte funkce:

derivacia-funkcie-5z
Pro zobrazení řešení se přihlaste.


6. Derivujte a upravte funkce:

derivacia-funkcie-6z
Pro zobrazení řešení se přihlaste.


7. Vypočítejte první a druhou derivaci funkce y = x2.ex

Pro zobrazení řešení se přihlaste.
Videoprezentace jsou sdílené z portálu NAUČ SA MATIKU.
  • Úvod

  • Derivace mocninné, exponenciální a logaritmické funkce

  • Základní pravidla derivování