sk|en|de|

Vyšší derivace

1. Vypočtěte první čtyři derivace následující funkce:

vyssie-derivacie-1z

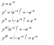
Řešení:

vyssie-derivacie-1r


2.Vypočtěte první čtyři derivace následující funkce:

vyssie-derivacie-2z

Řešení:

vyssie-derivacie-2r

 

3. Vypočtěte první čtyři derivace následující funkce:

vyssie-derivacie-3z

Řešení:

vyssie-derivacie-2r


4.Vypočtěte první čtyři derivace následující funkce:

vyssie-derivacie-4z

Řešení:

vyssie-derivacie-4r


5. Vypočtěte první čtyři derivace následující funkce:

vyssie-derivacie-5z

Řešení:

vyssie-derivacie-5r


6. Vypočtěte první tři derivace následující funkce:

y = ex.sinx

Řešení:

vyssie-derivacie-6.gif


7.Vypočtěte první tři derivace následující funkce:

vyssie-derivacie-7z

Řešení:

vyssie-derivacie-7r


8. Vypočtěte první tři derivace následující funkce:

y=sin 2x

Řešení:

vyssie-derivacie-8


9.Vypočtěte první tři derivace následující funkce:

vyssie-derivacie-9z

Řešení:

vyssie-derivacie-9r


10.Ukažte, že funkce y = excos x vyhovuje diferenciální rovnici:

yIV + 4y = 0

Řešení:

 vyssie-derivacie-10

Funkcia y = excos x vyhovuje diferenciálnej rovnici yIV + 4y = 0