sk|en|de|

Definiční obor funkce

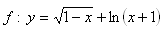
1.Určete definiční obor funkce:


definicny-obor-funkcie-1z

Řešení:

definicny-obor-funkcie-1r


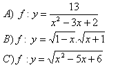
2. Určete definiční obor funkce:

definicny-obor-funkcie-2z

Řešení:

definicny-obor-funkcie-2r


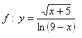
3.Určete definiční obor funkce:

definicny-obor-funkcie-3z

Řešení:

definicny-obor-funkcie-3r

 


4.Určete definiční obor funkce:

definicny-obor-funkcie-4z

Řešení:

definicny-obor-funkcie-4r  


5.Určete definiční obor funkce:

definicny-obor-funkcie-5z

Řešení:

definicny-obor-funkcie-5r

 

6. Určete definiční obor funkce:


definicny-obor-funkcie-6z

Řešení:

definicny-obor-funkcie-6r


7.Určete definiční obor funkce:

definicny-obor-funkcie-7z

Řešení:

definicny-obor-funkcie-7r


8.Pro která reálná čísla x je definována funkce:

definicny-obor-funkcie-8z

Řešení:

definicny-obor-funkcie-8r


9.Určete definiční obor funkce:

definicny-obor-funkcie-9z

Řešení:

definicny-obor-funkcie-9r


10.Určete definiční obor funkce:

definicny-obor-funkcie-10z

Řešení:

definicny-obor-funkcie-10r


11. Určete definiční obor funkce:

definicny-obor-funkcie-11z

Řešení:

definicny-obor-funkcie-11r  


12. Určete definiční obor funkce:

definicny-obor-funkcie-12z

Řešení:

definicny-obor-funkcie-12r  


13. Určete definiční obor funkce:

definicny-obor-funkcie-13z

Řešení:

definicny-obor-funkcie-13r  


14. Určete definiční obor funkce:

definicny-obor-funkcie-14z

Řešení:

definicny-obor-funkcie-14r