sk|en|de|

Logaritmické rovnice s různými základy

Při řešení použijte vzorec:

vzorec 

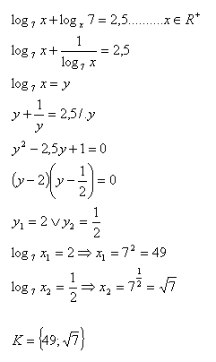
1. V množině R řešte:

roznezaklady1zad

Řešení:
roznezaklady1 


2.V množině R řešte:

roznezaklady2zad
Řešení:
roznezaklady2

3. V množině R řešte:

roznezaklady3zad
Řešení:
roznezaklady3

4. V množině R řešte:

roznezaklady4zad
Řešení:
roznezaklady4

5. V množině R řešte:

logaritmicke-rovnice-s-roznymy-zakladmi-5z

Řešení:

logaritmicke-rovnice-s-roznymy-zakladmi-5r.gif


6. V množině R řešte:

logaritmicke-rovnice-s-roznymy-zakladmi-6z.gif

Řešení:

logaritmicke-rovnice-s-roznymy-zakladmi-6r.gif


7. V množině R řešte:

logaritmicke-rovnice-s-roznymy-zakladmi-7z.gif

Řešení:

logaritmicke-rovnice-s-roznymy-zakladmi-7r.gif


8. V množině R řešte:

logaritmicke-rovnice-s-roznymy-zakladmi-8z.gif

Řešení:

logaritmicke-rovnice-s-roznymy-zakladmi-8r.gif


9. V množině R řešte:

logaritmicke-rovnice-s-roznymy-zakladmi-9z.gif

Řešení:

logaritmicke-rovnice-s-roznymy-zakladmi-9r.gif


10.V množině R řešte:

logaritmicke-rovnice-s-roznymy-zakladmi-10z.gif

Řešení:

logaritmicke-rovnice-s-roznymy-zakladmi-10r.gif


11.V množině R řešte:

logaritmicke-rovnice-s-roznymi-zakladmi-11-1
Řešení:
logaritmicke-rovnice-s-roznymi-zakladmi-11-2

12.V množině R řešte:

logaritmicke-rovnice-s-roznymi-zakladmi-12-1

Řešení:

logaritmicke-rovnice-s-roznymi-zakladmi-12-2


13.V množině R řešte:

logaritmicke-rovnice-s-roznymi-zakladmi-13-1

Řešení:

logaritmicke-rovnice-s-roznymi-zakladmi-13-2


14.V množině R řešte:

logaritmicke-rovnice-s-roznymi-zakladmi-14-1

Řešení:

logaritmicke-rovnice-s-roznymi-zakladmi-14-2


15.V množině R řešte:

logaritmicke-rovnice-s-roznymi-zakladmi-15-1

Řešení:

logaritmicke-rovnice-s-roznymi-zakladmi-15-2


16.V množině R řešte:

logaritmicke-rovnice-s-roznymi-zakladmi-16-1

Řešení:

logaritmicke-rovnice-s-roznymi-zakladmi-16-2


17.V množině R řešte:

logaritmicke-rovnice-s-roznymi-zakladmi-17-1

Řešení:

logaritmicke-rovnice-s-roznymi-zakladmi-17-2


18.V množině R řešte:

logaritmicke-rovnice-s-roznymi-zakladmi-18-1

Řešení:

logaritmicke-rovnice-s-roznymi-zakladmi-18-2


19.V množině R řešte:

logaritmicke-rovnice-s-roznymi-zakladmi-19-1.gif

Řešení:

logaritmicke-rovnice-s-roznymi-zakladmi-19-2.gif


20.V množině R řešte:

logaritmicke-rovnice-s-roznymi-zakladmi-20-1.gif

Řešení:

logaritmicke-rovnice-s-roznymi-zakladmi-20-2.gif