sk|en|de|

Integrál - přímá metoda

1. Zopakujte si základní vzorce integrování přímou metodou

Řešení:

Neurčitý integrál:

neurcity-integral-priama-metoda-1a 

f (x) dx je integrand, F (x) je primitivní funkce, C je integrační konstanta

 neurcity-integral-priama-metoda-1


2. Vypočtěte integrály:

neurcity-integral-priama-metoda-2z 

Řešení:

neurcity-integral-priama-metoda-2r 


3.Vypočtěte integrály:

neurcity-integral-priama-metoda-3z

Řešení:

neurcity-integral-priama-metoda-3r


4.Vypočtěte integrály:

neurcity-integral-priama-metoda-4z

Řešení:

neurcity-integral-priama-metoda-4r


5. Vypočtěte integrály:

neurcity-integral-priama-metoda-5z

Řešení:

neurcity-integral-priama-metoda-5r


6.Vypočtěte integrály:

neurcity-integral-priama-metoda-6z

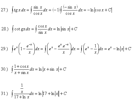
Řešení:

neurcity-integral-priama-metoda-6r


7.Vypočtěte integrály:

neurcity-integral-priama-metoda-7z

Řešení:

neurcity-integral-priama-metoda-7r


8.Vypočtěte integrály:

neurcity-integral-priama-metoda-8z

Řešení:

neurcity-integral-priama-metoda-8r

 

9.Vypočtěte integrály:

neurcity-integral-priama-metoda-9z

Řešení:

neurcity-integral-priama-metoda-9r