sk|cz|de|

Absolute Value

1. Solve in real numbers:

absolutna_hodnota1
Solution:
absolutna_hodnota1

2.Solve in real numbers:

absolutna_hodnota2
Solution:
absolutna_hodnota2

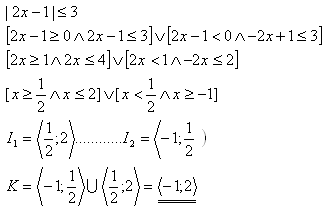
3.Solve the inequality in real numbers:

absolutna_hodnota3
Solution:
absolutna_hodnota3

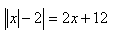
4.Solve in real numbers:

absolutna_hodnota4
Solution:
absolutna_hodnota4

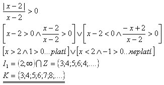
5.Solve in integer numbers:

absolutna_hodnota5 
Solution:
absolutna_hodnota5


6.Solve in real numbers:

absolutna-hodnota-6z.gif

Solution:

absolutna-hodnota-6r.gif


7.Solve in real numbers:

absolutna-hodnota-7z.gif

Solution:

absolutna-hodnota-7r.gif


8.  Solve in real numbers:

absolutna-hodnota-8z.gif

Solution:

absolutna-hodnota-8r.gif


9.Solve in real numbers:

absolutna-hodnota-9z.gif

Solution:

absolutna-hodnota-9r.gif


10.Solve in real numbers:

absolutna-hodnota-10z.gif

Solution:

absolutna-hodnota-10r.gif