Algebraic Expressions

1. Let x≠ ±y. Evaluate:

algebra1
Solution:
algebra1

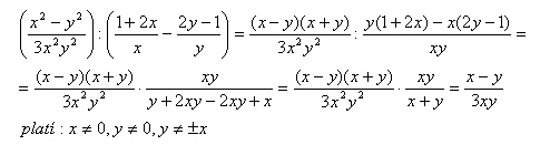
2.Simplify:

algebra2
Solution:
algebra2r

3.Solve and find out the conditions:

algebra3
Solution:
algebra3r

4. Simplify:

algebra3-1
Please log in to view the solution.

5. Solve and find out the conditions:

algebra5
Please log in to view the solution.

6. Simplify:

algebra6
Please log in to view the solution.

7. Solve and find out the conditions:

algebra7
Please log in to view the solution.

8.Solve:

algebra8
Please log in to view the solution.

9. Simplify:

algebra9
Please log in to view the solution.

10. Simplify:

algebra10
Please log in to view the solution.

11. Simplify:

algebraicke-vyrazy-11-z.gif
Please log in to view the solution.


12.  Simplify:

algebraicke-vyrazy-12-z.gif
Please log in to view the solution.

13. Simplify:

algebraicke-vyrazy-13-z.gif
Please log in to view the solution.

14.Simplify:

algebraicke-vyrazy-14-z
Please log in to view the solution.

15.Simplify:

algebraicke-vyrazy-15-z
Please log in to view the solution.

16.Simplify:

algebraicke-vyrazy-16-z
Please log in to view the solution.

17.Simplify:

algebraicke-vyrazy-17-z
Please log in to view the solution.

18.Simplify:

algebraicke-vyrazy-18-z
Please log in to view the solution.

19.Simplify:

algebraicke-vyrazy-19-z
Please log in to view the solution.

20.Simplify:

algebraicke-vyrazy-20-z
Please log in to view the solution.