sk|cz|de|

Exponential Equations

1.Solve in real numbers:

exponencialne_rovnice1
Solution:
exponencialne_rovnice1

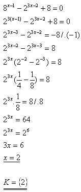
2.Solve in real numbers:

exponencialne_rovnice1
Solution:
exponencialne_rovnice2

3.Solve in real numbers:

exponencialne_rovnice1
Solution:
exponencialne_rovnice3

4.Solve in real numbers:

exponencialne_rovnice1
Solution:
exponencialne_rovnice4

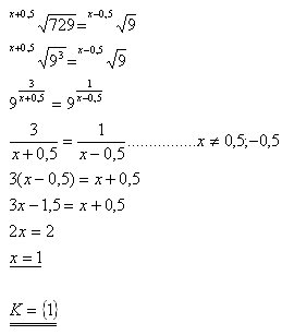
5.Solve in real numbers:

exponencialne_rovnice1
Solution:
exponencialne_rovnice5

6.Solve in real numbers:

exponencialne_rovnice6
Solution:
exponencialne_rovnice6

7.Solve in real numbers:

exponencialne_rovnice7
Solution:
exponencialne_rovnice7

8.Solve in real numbers:

exponencialne_rovnice8
Solution:
exponencialne_rovnice8

9.Solve in real numbers:

exponencialne_rovnice9
Solution:
exponencialne_rovnice9

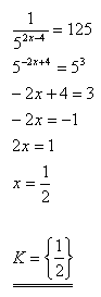
10.Solve in real numbers:

exponencialne_rovnice10
Solution:
exponencialne_rovnice10

11.Solve in real numbers:

exponencialne_rovnice1
Solution:
exponencialne_rovnice11

12.Solve in real numbers:

exponencialne_rovnice12
Solution:
exponencialne_rovnice12

13.Solve in real numbers:

2x-1 + 2x-2 +2x-3 = 448
Solution:
2x.2-1 +2x.2-2+2x.2-3 = 448
2x.(2-1 + 2-2 + 2-3 ) = 448
exponencialne_rovnice13
exponencialne_rovnice13

14.Solve in real numbers:

exponencialne_rovnice14
Solution:
exponencialne_rovnice14

15.Solve in real numbers:

exponencialne_rovnice15
Solution:
exponencialne_rovnice15

16.Solve in real numbers:

exponencialne_rovnice16
Solution:
exponencialne_rovnice16

17.Solve in real numbers:

exponencialne_rovnice17
Solution:
exponencialne_rovnice17

18.Solve in real numbers:

exponencialne_rovnice18
Solution:
exponencialne_rovnice18

19.Solve in real numbers:

exponencialne_rovnice19
Solution:
exponencialne_rovnice19

20.Solve in real numbers:

exponencialne_rovnice20
Solution:
exponencialne_rovnice20

21.Solve in real numbers:

exponencialne_rovnice21
Solution:
exponencialne_rovnice21

22.Solve in real numbers:

exponencialne_rovnice22
Solution:
exponencialne_rovnice22

23.Solve in real numbers:

exponencialne_rovnice23
Solution:
exponencialne_rovnice23

24.Solve in real numbers:

exponencialne_rovnice24
Solution:
exponencialne_rovnice24

25.Solve in real numbers:

exponencialne_rovnice25
Solution:
exponencialne_rovnice25

26.Solve in real numbers:

exponencialne_rovnice26
Solution:
exponencialne_rovnice26


27.Solve in real numbers:

exponencialne-rovnice-27z

Solution:

exponencialne-rovnice-27z


28.Solve in real numbers:

exponencialne-rovnice-28z.gif

Solution:

exponencialne-rovnice-28r.gif