Function features

1. What do you remember about the properties of functions?

Solution:

A function f of a real variable x is a rule that assigns to each x ∈ R at most one y ∈ R such that
y = f(x)

The domain of the function D is the set of all x ∈ R for which there exists exactly one y ∈ R such that
y = f(x).

The range of the function H is the set of all y ∈ R for which there exists at least one x ∈ R such that
y = f(x).

, the function is increasing
x2>x1,f(x2)<f(x1)x_2 > x_1, f(x_2) < f(x_1), the function is decreasing
x2>x1,f(x2)f(x1)x_2 > x_1, f(x_2) \leq f(x_1), the function is non-increasing
x2>x1,f(x2)f(x1)x_2 > x_1, f(x_2) \geq f(x_1), the function is non-decreasing
x2x1,f(x2)f(x1)x_2 \neq x_1, f(x_2) \neq f(x_1), the function is injective

If there exists h, such that f(x)h, the function is bounded from above
If there exists dR, such that f(x)df(x) \g, the function is bounded from below
If the function is bounded from above and from below, it is bounded

If f(x+kp)=f(x)f(x + kp) = f(x), the function is periodic (p=p = period)
If f(x)=f, the function is even
If f(x)=f(x)f(-x) = -f(x), the function is odd

A function f(x)f(x) has an inverse function f1(x)f^{-1}(x). It holds:
D=H, H=D

 

 

Two functions are equal: f(x) = g(x) if: D(f) = D(g)

                                                       f(x) = g(x)

 

Which of the following graphs represent functions?
properties-of-functions-1az

 

properties-of-functions-1ar

Function                                                  Function                                         Not a function 


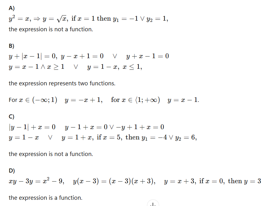
2.Determine whether the following expressions are functions:

properties-of-functions-2z

Solution:

function-2-r 


3.Decide whether the following functions are equal:

properties-of-functions-3z

Solution:

properties-of-functions-3r

For the given functions apply: f3(x) = F4(X)


4.Determine the evenness or oddness of the functions:

properties-of-functions-4z
Please log in to view the solution.


5. Determine which of the following functions are bounded in the given domain.

properties-of-functions-5z
Please log in to view the solution.


6. For the given functions, create inverse functions.

properties-of-functions-6z
Please log in to view the solution.


7. Determine the inverse function for the functions:

properties-of-functions-7z
Please log in to view the solution.


8. In the function f(x): y = ax2 + bx + c , x ∈ R, determine a, b, c ∈ R such that f(0) = -3, f(-1) = -6, f(2) = 15.

Please log in to view the solution.

9. Determine b, d of the function f: y = (x + b):(x + d) such that f(1) = -1,  f(-1) = -1/3

Please log in to view the solution.


10.Determine the set of all functions f(x) for which the following holds:

properties-of-functions-10z
Please log in to view the solution.

11.The function f: y= -2x +3 is given

a.) Determine f(0),  f(-5)
b.) For which x is f(x) = 1,  f(x) = -5
c.) Determine the intersection of the graph of the function with the coordinate axes
Please log in to view the solution.


12.Write a linear function whose graph passes through the points

properties-of-functions-12z
Please log in to view the solution.

13.According to the car manufacturer, the fuel consumption of a car per 100 km is as follows. At a speed of 80 km/h it consumes 6 liters of fuel, at a speed of 110 km/h it consumes 8.1 liters. Determine the car’s consumption at a speed of 90 km/h.

Please log in to view the solution.

14.The function f: y = x2 - 4x -12 is given.

a.) Determine for which x it holds that f(x) = 9
b.) Determine the intersections of the graph of the function with the coordinate axes
Please log in to view the solution.

15.Write a quadratic function whose elements are the ordered pairs

A[0;1], B[2;-1], C[1;-1]
Please log in to view the solution.

16.The quadratic function f: y = x2 – 3x + c is given. Determine c such that the function

a.) has no common point with the x-axis
b.) has exactly one common point with the x-axis
c.) has exactly two common points with the x-axis
Please log in to view the solution.


17.The quadratic function f: y = x2 + 4x – 5 is given. Determine its intersections with the coordinate axes and the vertex of its parabolic graph.

Please log in to view the solution.

18.Determine the coefficients a, b so that the graph of the function f: y = a·log x + b passes through points K, L given that:

vlastnosti-funkcii-18z.gif
Please log in to view the solution.

19.Determine the coefficients a, b so that the function f: y = a2x + b passes through the origin of the coordinate system and the point M [1; 1].

Please log in to view the solution.

20.For which real numbers x do the functions f(x) = (5!)x and g(x) = (4!)x+1 attain the same values?

Please log in to view the solution.