Roots

1. Simplify:

odmocniny1
Solution:
odmocniny1

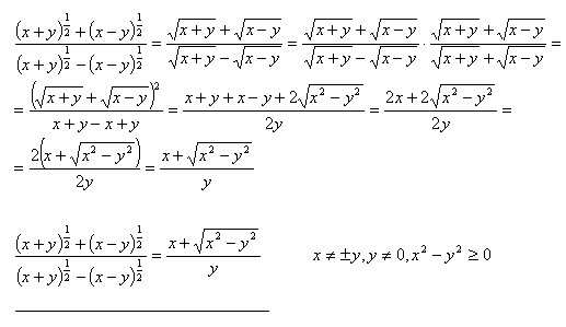
2.Simplify:

odmocniny2
Solution:
odmocniny2

3.Simplify:

odmocniny3
Solution:
odmocniny3

4.Simplify:

odmocniny-4-z.gif
Please log in to view the solution.

5.Simplify:

odmocniny5
Please log in to view the solution.

6.Simplify:

odmocniny1
Please log in to view the solution.


7. Solve and find out the conditions:

odmocniny-7z.gif
Please log in to view the solution.

8.Solve and find out the conditions:

odmocniny-8z.gif
Please log in to view the solution.


9.Solve and find out the conditions:

odmocniny-9z.gif
Please log in to view the solution.

10.Simplify:

odmocniny-10z.gif
Please log in to view the solution.

11.Simplify:

odmocniny-11-z
Please log in to view the solution.

12. Simplify:

 odmocniny-12-z

Please log in to view the solution.

13.Simplify:

odmocniny-13-z

Please log in to view the solution.

14.Simplify:

odmocniny-14-z

Please log in to view the solution.

15.Simplify:

odmocniny-15-z

Please log in to view the solution.

16.Simplify:

odmocniny-16-z

Please log in to view the solution.

17.Simplify:

odmocniny-17-z

Please log in to view the solution.

18.Simplify:

odmocniny-18-z

Please log in to view the solution.

19.Simplify:

odmocniny-19-z

Please log in to view the solution.

20.Simplify:

odmocniny-20-z

Please log in to view the solution.