cz|en|de|

Výkon striedavého prúdu

1.Vysvetlite pojmy efektívne hodnoty striedavého prúdu a napätia a výkon striedavého prúdu.

Riešenie:

Meracími prístrojmi sa nemerajú okamžité ani maximálne hodnoty prúdu a napätia, ale „efektívne hodnoty“ prúdu a napätia.
fyzika-vykon-striedaveho-prudu-1.gif

fyzika-vykon-striedaveho-prudu-1b.gif


2. Rezistor s odporom 20Ώ je pripojený na zdroj striedavého napätia Uef = 24V a f = 50Hz. Napíšte rovnicu pre okamžitú hodnotu prúdu v obvode. Určite efektívnu hodnotu prúdu v obvode.

Riešenie:

Rozbor:

R = 20Ώ,  Uef = 24V  f = 50s-1,  Ief = ?

fyzika-vykon-striedaveho-prudu-2n.gif
 

  • Rovnica pre okamžitú hodnotu prúdu v obvode je i = 1,7.sin(100π.t) [A]
  • Efektívna hodnota prúdu v obvode je Ief = 1,2A.

3.Určite časové okamžiky v priebehu jednej periódy striedavého napätia, pri ktorých sa okamžité napätie rovná efektívnemu napätiu.

Riešenie:

fyzika-vykon-striedaveho-prudu-3.gif 

Okamžité napätie rovná sa efektívnemu napätiu pre t1 =T/8 a t2 = 3T/8.


4.Striedavé napätie má efektívnu hodnotu Uef = 156V. Určite amplitúdu napätia. Za aký čas od začiatočného okamihu dosiahne okamžitá hodnota striedavého napätia efektívnu hodnotu, ak f = 50Hz.

Riešenie:

Rozbor:

Uef = 156V,  f = 50Hz = 50s–1,  Um = ?,  t = ?

fyzika-vykon-striedaveho-prudu-4.gif 

Okamžitá hodnota striedavého napätia dosiahne efektívnu hodnotu Za čas t = 2,5ms.


5.Pre okamžité hodnoty prúdu a napätia v obvode striedavého prúdu platia rovnice i = 1.sin(100π.t – π/4) [A] a u = 150.sin(100π.t) [V] Určite činný, zdanlivý a jalový výkon tohto prúdu. Ukážte, že platí:

fyzika-vykon-striedaveho-prudu-5za.gif

Riešenie:

fyzika-vykon-striedaveho-prudu-5r.gif


6.Vypočítajte činný výkon striedavého prúdu, ktorý je zapojený na zdroj striedavého prúdu (U = 220V, f = 50Hz, cos φ = 0,8), ak v obvode je zapojený spotrebič, ktorý má vlastnosti:

  • a.) cievky s indukčnosťou L = 0,1H
  • b.) kondenzátora s kapacitou C = 10-3F
Zistite, ako sa bude s frekvenciou meniť činný výkon striedavého prúdu.

Riešenie:

Rozbor:

U = 220V,  f = 50Hz,  cos φ = 0,8

fyzika-vykon-striedaveho-prudu-6.gif 

  • Ak je v obvode zapojená cievka a frekvencia sa bude zväčšovať, činný výkon sa bude zmenšovať (f je v menovateli)
  • Ak je v obvode zapojený kondenzátor a frekvencia sa bude zväčšovať, činný výkon sa bude tiež zväčšovať. (f je v čitateli)

7. Vypočítajte, aký prúd prechádza jednofázovým elektromotorom na striedavý prúd, ak má výkon 5kWa je napojený na elektrickú sieť o napätí 220V. Účinník elektromotora je 0,85 a jeho účinnosť 80%.

Riešenie:

Rozbor:

P = 5000W,  U = 220V,  cosφ = 0,85,  η = 0,8

fyzika-vykon-striedaveho-prudu-7.gif 

Jednofázovým elektromotorom prechádza prúd I = 33,4A


8. Pri napätí 48V prechádza obvodom prúd 6A. Činný výkon v obvode je 200W. Vypočítajte účinník. Posúďte, ako by sa zmenil činný výkon zariadenia, keby sa podarilo zlepšiť účinník na 0,98

Riešenie:

Rozbor:

U = 48V,  I = 6A,  P1 = 200W,  φ1 = ?, cos φ2 = 0,98

 fyzika-vykon-striedaveho-prudu-8.gif

Činný výkon sa zväčší 1,41 krát. (o 41%) 


9.Na striedavé napätie 3000V s f = 50Hz sú pripojené za sebou rezistor s odporom R = 40Ώ a cievka s indukčnosťou L = 95.10-3H. Určite prúd v obvode, fázový posun medzi prúdom a napätím a činný výkon prúdu.

Riešenie:

Rozbor;

U = 3000V,  f = 50Hz,  R = 40Ώ,  L = 95.10-3H,  I = ?, φ = ?,  P = ?

 fyzika-vykon-striedaveho-prudu-9.gif

V obvode je prúd I = 60A, fázový posun φ = 36053‘ a činný výkon 1,44.105W.


10. Jednofázový motor odoberal za čas 5 minút prúd 10A pri napätí 220V. Elektromer za ten čas nameral 0,125 kWh. Určite účinník motora.

Riešenie:

Rozbor:

t = 5 min. = 300s,  I = 10A,  U = 220V,  W = 0,125 kW.h (1kWh = 3,6.106J) W = 0,125.3,6.106J = 0,45.106J

 

Účinník motora je cos φ = 0,68.


11.Napätie a prúd v cievke sa mení podľa rovníc u = 160.sin(100πt) (V) a  i = 3.sin(100π – π/3) (A). Určite efektívne hodnoty napätia a prúdu v obvode, účinník a činný výkon.

Riešenie:

vykon-striedaveho-prudu-11.gif

Činný výkon v obvode striedavého prúdu je W = 120 W.


12.Rezistor s odporom 20Ώ je pripojený na zdroj striedavého napätia Uef = 24V a frekvencie f = 50Hz. Napíšte rovnicu pre okamžitú hodnotu prúdu v obvode. Vypočítajte okamžitý prúd v čase 0,001s.

Riešenie:

vykon-striedaveho-prudu-12.gif


13.Striedavé napätie má efektívnu hodnotu Uef = 156V. Určite amplitúdu napätia. Za aký čas od začiatočného okamihu dosiahne okamžitá hodnota striedavého napätia efektívnu hodnotu, ak f = 50Hz. V začiatočnom okamihu je hodnota striedavého napätia nulová.

Riešenie:

vykon-striedaveho-prudu-13.gif
Efektívnu hodnotu dosiahne za čas 2,5 milisekúnd a 7,5 milisekúnd atď.


14.Nech P je činný výkon striedavého elektrického prúdu, PZ zdanlivý a PQ jalový výkon. Ukážte, že platí :

vykon-striedaveho-prudu-14z.gif

Riešenie:

vykon-striedaveho-prudu-14r


15.Na štítku elektromotora sú údaje U = 230V, I = 20A, cosφ = 0,6. Vypočítajte činný, zdanlivý a jalový výkon a urobte skúšku.

Riešenie:

vykon-striedaveho-prudu-15.gif
P = 2760W,  PZ = 4600 VA,  PQ = 3680 VA.


16. Pre okamžité hodnoty napätia a prúdu v obvode striedavého prúdu platí:

vykon-striedaveho-prudu-16z

  • a.) Vypočítajte frekvenciu striedavého prúdu
  • b.) Vypočítajte činný výkon striedavého prúdu
  • c.)  Zistite či obvod má vlastnosti induktancie alebo kapacitancie.

Riešenie:

vykon-striedaveho-prudu-16r

c.)  Obvod má vlastnosti kapacitancie lebo φ = π/3 >0 .


17.Ako sa bude meniť činný výkon striedavého prúdu v spotrebiči pri zväčšovaní frekvencie, ak spotrebič má vlastnosti induktancie?

Riešenie:

vykon-striedaveho-prudu-17.gif
Ak sa bude frekvencia zväčšovať, činný výkon sa bude zmenšovať,  lebo medzi frekvenciou a výkonom je nepriama úmernosť.


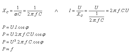
18.Ako sa bude meniť činný výkon striedavého prúdu v spotrebiči pri zväčšovaní frekvencie, ak spotrebič má vlastnosti kapacitancie?

Riešenie:
vykon-striedaveho-prudu-18

Ak sa bude frekvencia zväčšovať, činný výkon sa bude tiež zväčšovať, lebo medzi frekvenciou a výkonom je priama úmernosť.


19.Činný výkon elektrárne pri napätí  6kV, cosφ = 1, je P = 3 MW. Vypočítajte ako sa zmení prúd ak sa účinník zmení na cosφ = 0,8

Riešenie:

 vykon-striedaveho-prudu-19.gif

Elektrický prúd sa zväčší 1,25 krát, čiže o 25%.


20.Akú kapacitu musí mať kondenzátor zapojený sériovo ku žiarovke  s menovitým napätím U/ = 12V a príkonom 60W, aby sme mohli žiarovku pripojiť k napätiu U = 240V a frekvencie 50Hz,aby žiarovka naplno svietila?

vykon-striedaveho-prudu-20z
Riešenie:

vykon-striedaveho-prudu-20r
Kondenzátor musí mať kapacitu C = 66,3μF.