sk|cz|de|

Linear Inequations - Tab

1. Solve in real numbers:

linearne_nerovnice_tabulka1
Solution:
linearne_nerovnice_tabulka1

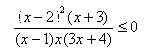
2.Solve in real numbers:

linearne_nerovnice_tabulka2
Solution:
linearne_nerovnice_tabulka2

3.Solve in real numbers:

linearne_nerovnice_tabulka3
Solution:
linearne_nerovnice_tabulka3

4.Solve in real numbers:

linearne_nerovnice_tabulka4
Solution:
linearne_nerovnice_tabulka4

5.Solve in real numbers:

linearne_nerovnice_tabulka5
Solution:
linearne_nerovnice_tabulka5

6.Solve in real numbers:

linearne_nerovnice_tabulka6
Solution:
linearne_nerovnice_tabulka6

7.Solve in real numbers:

linearne-nerovnice-tabulka-7z.gif

Solution:

linearne-nerovnice-tabulka-7r.gif


8.Solve in real numbers:

linearne-nerovnice-tabulka-8z.gif

Solution:

linearne-nerovnice-tabulka-8r.gif


9.Solve in real numbers:

linearne-nerovnice-tabulka-9z.gif

Solution:

linearne-nerovnice-tabulka-9r.gif


10.Solve in real numbers:

linearne-nerovnice-tabulka-10z.gif

Solution:

linearne-nerovnice-tabulka-10r.gif