sk|cz|de|

Logarithmic Equations - Other Bases

Use the following formula if necessary:

vzorec 

1.Solve:

roznezaklady1zad

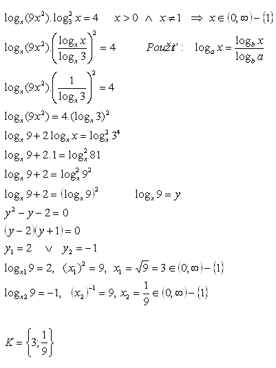
Solution: 

roznezaklady1 


2. Solve:

roznezaklady2zad
Solution:
roznezaklady2

3. Solve:

roznezaklady3zad
Solution:
roznezaklady3

4. Solve:

roznezaklady4zad
Solution:
roznezaklady4

5. Solve:

logaritmicke-rovnice-s-roznymy-zakladmi-5z

Solution:

logaritmicke-rovnice-s-roznymy-zakladmi-5r.gif


6. Solve:

logaritmicke-rovnice-s-roznymy-zakladmi-6z.gif

Solution:

logaritmicke-rovnice-s-roznymy-zakladmi-6r.gif


7. Solve:

logaritmicke-rovnice-s-roznymy-zakladmi-7z.gif

Solution:

logaritmicke-rovnice-s-roznymy-zakladmi-7r.gif


8.Solve:

logaritmicke-rovnice-s-roznymy-zakladmi-8z.gif

Solution:

logaritmicke-rovnice-s-roznymy-zakladmi-8r.gif


9. Solve:

logaritmicke-rovnice-s-roznymy-zakladmi-9z.gif

Solution:

logaritmicke-rovnice-s-roznymy-zakladmi-9r.gif


10.Solve:

logaritmicke-rovnice-s-roznymy-zakladmi-10z.gif

Solution:

logaritmicke-rovnice-s-roznymy-zakladmi-10r.gif

11.Solve in real numbers:

logaritmicke-rovnice-s-roznymi-zakladmi-11-1
Solution:
logaritmicke-rovnice-s-roznymi-zakladmi-11-2

12.Solve in real numbers:

logaritmicke-rovnice-s-roznymi-zakladmi-12-1

Solution:

logaritmicke-rovnice-s-roznymi-zakladmi-12-2


13.Solve in real numbers:

logaritmicke-rovnice-s-roznymi-zakladmi-13-1

Solution:

logaritmicke-rovnice-s-roznymi-zakladmi-13-2


14.Solve in real numbers:

logaritmicke-rovnice-s-roznymi-zakladmi-14-1

Solution:

logaritmicke-rovnice-s-roznymi-zakladmi-14-2


15.Solve in real numbers:

logaritmicke-rovnice-s-roznymi-zakladmi-15-1

Solution:

logaritmicke-rovnice-s-roznymi-zakladmi-15-2


16.Solve in real numbers:

logaritmicke-rovnice-s-roznymi-zakladmi-16-1

Solution:

logaritmicke-rovnice-s-roznymi-zakladmi-16-2


17.Solve in real numbers:

logaritmicke-rovnice-s-roznymi-zakladmi-17-1

Solution:

logaritmicke-rovnice-s-roznymi-zakladmi-17-2


18.Solve in real numbers:

logaritmicke-rovnice-s-roznymi-zakladmi-18-1

Solution:

logaritmicke-rovnice-s-roznymi-zakladmi-18-2


19.Solve in real numbers:

logaritmicke-rovnice-s-roznymi-zakladmi-19-1.gif

Solution:

logaritmicke-rovnice-s-roznymi-zakladmi-19-2.gif


20.Solve in real numbers:

logaritmicke-rovnice-s-roznymi-zakladmi-20-1.gif

Solution:

logaritmicke-rovnice-s-roznymi-zakladmi-20-2.gif