sk|cz|de|

Linear Equations

1. Solve in real numbers:

linearne_rovnice1
Solution:
linearne_rovnice1

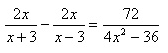
2.Solve in real numbers:

linearne_rovnice2
Solution:
linearne_rovnice2

3.Solve in real numbers:

linearne_rovnice3
Solution:
linearne_rovnice3

4.Solve in real numbers:

linearne_rovnice4
Solution:
linearne_rovnice4

5.Solve in real numbers:

linearne_rovnice5

Solution:
linearne_rovnice5

The solutions of the equation are all real numbers except 0 and 3/2. 


6. Solve the equation:

linearne-rovnice-6z.gif

Solution:

linearne-rovnice-6r.gif


7.Solve the equation:

linearne-rovnice-7z.gif

Solution:

linearne-rovnice-7r.gif


8.Solve the equation:

linearne-rovnice-8z.gif

Solution:

linearne-rovnice-8r.gif


9.Solve in unsigned integers:

linearne-rovnice-9z.gif

Solution:

linearne-rovnice-9r.gif


10.

In the equation hf = W + 1/2mv2 determine: a.) f, b.) m, c.) v
In the equation c2 = a2 + b2 – 2ab.cosγ determine: a.) b, b.) cos γ, c.) c

Solution:

linearne-rovnice-10r.gif


11. Solve the equation in real numbers:

linearne-rovnice-11-z

Solution:

linearne-rovnice-11-r


12.Solve the equation in real numbers:

linearne-rovnice-12-z

Solution:

linearne-rovnice-12-r


13.Solve the equation in real numbers:

linearne-rovnice-13-z

Solution:

linearne-rovnice-13-r


14.Solve the equation in unsigned integers:

linearne-rovnice-14-z

Solution:

linearne-rovnice-14-r


15.Solve the equation in unsigned integers:

linearne-rovnice-15-z

Solution:

linearne-rovnice-15-r


16.Solve the equation in real numbers:

linearne-rovnice-16-z

Solution:

linearne-rovnice-16-r


17.Solve the equation in real numbers:

linearne-rovnice-17-z

Solution:

linearne-rovnice-17-r


18. Solve the equation in real numbers:

linearne-rovnice-18-z

Solution:

linearne-rovnice-18-r


19. Solve the equation:


linearne-rovnice-19-z

Solution:

linearne-rovnice-19-r


20.  Solve the equation in real numbers:

linearne-rovnice-20-z

Solution:

linearne-rovnice-20-r


21. Solve the equation in real numbers:

linearne-rovnice-21-z

Solution:

linearne-rovnice-21-r


22. Solve the equation in unsigned integers:

linearne-rovnice-22-z

Solution:

linearne-rovnice-22-r