sk|cz|de|

Atomic nucleus

1. What properties does the atomic nucleus have?

Solution:
The atomic nucleus forms the central part of the atom. It accounts for almost all of its mass. The atomic nucleus contains protons and neutrons—nucleons.

Atomic constant:  mu,Ar=1,m=1.66051027 kg=931.5 MeVc2m_u, A_r = 1, m = 1.6605 \cdot 10^{-27} \, \text{kg} = 931.5 \, \text{MeV} \cdot c^{-2}

Proton: p,Ar=1.0072,m=1.6731027 kg=938.275 MeVc2
Neutron: n,Ar=1.0086,m=1.6731027 kg=939.565 MeVc2

ZAX^A_Z X  proton number (number of protons in the nucleus, electrons in the shell, the order of the element in the Mendeleev table)
N=N = neutron number (number of neutrons in the nucleus)
A=A = nucleon number A=N+ZA = N + Z (number of nucleons – protons and neutrons in the nucleus)

Isotopes are nuclides of the same element (same ZZ) that differ in neutron number NN (and thus also in number AA).

The mass of the nucleus mjm_j is always smaller than the mass of ZZ protons and NN neutrons.


Bj=B_j = mass defect of the nucleus:

mj<Zmp+Nmnm_j < Z \cdot m_p + N \cdot m_n mj+Bj=Zmp+Nmnm_j + B_j = Z \cdot m_p + N \cdot m_n Bj=(Zmp+Nmn)mjB_j = (Z \cdot m_p + N \cdot m_n) - m_j

mj=Armum_j = A_r \cdot m_u


Binding energy of the nucleus:

Ej=Bjc2E_j = B_j c^2

Binding energy per nucleon:

εj=EjA\varepsilon_j = \frac{E_j}{A}

New unit of mass:

1 MeVc2=1.78251030 kg1 \, \text{MeV} \cdot c^{-2} = 1.7825 \cdot 10^{-30} \, \text{kg}

1 kg=0.5611030 MeVc21 \, \text{kg} = 0.561 \cdot 10^{30} \, \text{MeV} \cdot c^{-2} 


2.Lead has four isotopes. Determine the number of protons and neutrons in the nucleus.

fyzika-atomove-jadro-2z.gif

Solution:

fyzika-atomove-jadro-2r.gif


3. Calculate:

  • a.) the rest mass of the nitrogen nucleus, given Ar(N) = 14,0067
  • b.) the relative mass of the chlorine nucleus, given m(Cl) = 5,885·10–26 kg, 1 MeV·c–2 = 1,7825·10–30 kg, mu = 1,6605·10–27 kg

Solution:

fyzika-atomove-jadro-3.gif 

  • The rest mass of the nitrogen nucleus is m = 13 050 MeV·c-2.
  • The relative mass of the chlorine nucleus is Ar = 35.44.

4.Determine the mass defect, the binding energy, and the energy per nucleon for a radium nucleus. Express the energy in MeV.

fyzika-atomove-jadro-4z.gif

Solution:

Analysis:

fyzika-atomove-jadro-4r.gif

The mass defect is Bj = 1708.9 MeV·c-2, the binding energy is Ej = 1708.9 MeV, the energy per nucleon is εj = 7.56 MeV.


5.Determine the percent composition of chlorine with a relative atomic mass of 35.5, which is a mixture of isotopes

fyzika-atomove-jadro-5z.gif

Solution:

Analysis:

x = relative abundance of the first isotope
y = relative abundance of the second isotope

35x+37y=35.535x + 37y = 35.5x+y=1y=1xx + y = 1 \quad \Rightarrow \quad y = 1 - x35x+37(1x)=35.535x + 37(1 - x) = 35.535x+3737x=35.535x + 37 - 37x = 35.52x=1.5-2x = -1.5 2x=1.52x = 1.5x=75%(=0.75)x = 75\% \quad (= 0.75)y=25%(=0.25)y = 25\% \quad (= 0.25)

Chlorine contains 75% of the first isotope and 25% of the second isotope.


6.In the atomic bomb dropped by the Americans on Hiroshima, the charge contained 44.5 kg of uranium. What energy was released?

fyzika-atomove-jadro-6z.gif

Solution:

23592U A=235, Z=92, N=143, mu=931.5 MeV c2

mp=938.272 MeV c2,mn=939.565 MeV c2m_p = 938.272\,\text{MeV}\,c^{-2},\quad m_n = 939.565\,\text{MeV}\,c^{-2}

Bj=(Z mp+N mn)A muB_j = (Z\,m_p + N\,m_n) - A\,m_uBj=(92938.272 MeV c2+143939.565 MeV c2)235931.5 MeV c2=1776 MeV c2B_j = (92\cdot 938.272\,\text{MeV}\,c^{-2} + 143\cdot 939.565\,\text{MeV}\,c^{-2}) - 235\cdot 931.5\,\text{MeV}\,c^{-2} = 1776\,\text{MeV}\,c^{-2}Bj=1776 MeV c2B_j = 1776\,\text{MeV}\,c^{-2}

Energy of one nucleon:

Ej=Bj c2E_j = B_j\,c^2Ej=1776 MeV c2c2=1776 MeVE_j = 1776\,\text{MeV}\,c^{-2}\cdot c^2 = 1776\,\text{MeV}Ej=1776 MeV=2.84×1010 JE_j = 1776\,\text{MeV} = 2.84\times 10^{-10}\,\text{J}

Mass of the nucleus:

m=A mu=235931.5 MeV c2=218902.5 MeV c2=3.9×1025 kgm = A\,m_u = 235\cdot 931.5\,\text{MeV}\,c^{-2} = 218902.5\,\text{MeV}\,c^{-2} = 3.9\times 10^{-25}\,\text{kg}

Number of nuclei in 1 kg:

n=1 kg3.9×1025 kg=2.56×1024 nuclein = \frac{1\,\text{kg}}{3.9\times 10^{-25}\,\text{kg}} = 2.56\times 10^{24}\ \text{nuclei}

Number of nuclei in 44.5 kg of uranium:

N=44.52.56×1024=1.14×1026 nucleiN = 44.5\cdot 2.56\times 10^{24} = 1.14\times 10^{26}\ \text{nuclei}

Total energy:

E=N Ej=1.14×10262.84×1010 J=3.24×1016 JE = N\,E_j = 1.14\times 10^{26}\cdot 2.84\times 10^{-10}\,\text{J} = 3.24\times 10^{16}\,\text{J}E=3.24×1016 JE = 3.24\times 10^{16}\,\text{J}

Total energy is: E=3.24×1016



7.How long would it take a power plant, whose two blocks have a power output of P = 2,440 MW, to produce the energy from problem no. 6 (E = 3.24·1016 J)?

Solution:

Analysis:

E = 3.24·1016 J, P = 2,440 MW = 880·106 J·s-1, t = ?

fyzika-atomove-jadro-7.gif 

The power plant would produce this energy in 1.167 years.


8.A nucleus with mass number 100 and binding energy εj1 = 7.4 MeV splits into two nuclei with binding energy per nucleon εj2 = 8.2 MeV. What energy is released in the reaction?

Solution:

Analysis:

A = 100,   εj1 = 7.4 MeV,  εj2 = 8.2 MeV,  Ej = ?

fyzika-atomove-jadro-8.gif 

The reaction releases 80 MeV of energy.


9. Determine the energy obtainable by fission of 1 kg of uranium fyzika-atomove-jadro-9z.gif if fission of one uranium nucleus releases 200 MeV of energy. What mass of hard coal with a heating value of 3·107 J·kg would be needed to obtain the same energy?

Solution:

 fyzika-atomove-jadro-9r.gif

The mass of hard coal would need to be M = 2,733 tons.


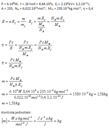
10.A block of a nuclear power plant that converts nuclear energy into electrical energy with 40% efficiency has an electrical output of 600 MW. Determine the mass of uranium fyzika-atomove-jadro-10z.gif consumed in 24 hours if fission of a single nucleus releases energy of 200 MeV.

Solution:

Analysis:

 fyzika-atomove-jadro-10r.gif

The mass of uranium is 1.58 kg.


11.Show that for the units of mass used in atomic physics, the following holds:

atomove-jadro-11z

Solution:

atomove-jadro-11


12.Express, in units of MeV c–2, the mass of the atomic mass constant mu, the proton mp, and the neutron mn.

Solution:

atomove-jadro-12 

The mass of the atomic mass constant is mu = 931.5 MeV c–2,
the proton mp = 938.3 MeV c–2, and the neutron mn = 939.5 MeV c–2.


13.Determine the binding energy of the carbon nucleus per nucleon.

Solution:

atomove-jadro-13 

The binding energy of the carbon nucleus per nucleon is ε = 7.4 MeV.


14.Determine the number of uranium atoms in 1 kg of uranium.

Solution:

 atomove-jadro-14

 In 1 kilogram of uranium there are N = 2.53×1024 uranium atoms.


15.Find how many protons and how many neutrons are in 1 kg of neon.

Solution:

atomove-jadro-15 

In one kilogram of neon there are 3×1026 protons and 3×1026 neutrons.


16.Determine the total binding energy of nuclei in one kilogram of uranium. One kilogram of uranium contains 2.53×1024 atoms.

Solution:

atomove-jadro-16 

The total binding energy of uranium nuclei is E = 7.3×1014 J.


17.Calculate the magnitude of the electric force

  • a.)    by which two protons in a nucleus repel each other (r = 10–15 m)
  • b.)    by which a proton and an electron attract each other (r = 10–10 m)

Solution:

atomove-jadro-17 

The forces are F1 = 230.9 N and F2 = 2.309×10–8 N.


18.A nucleus with mass number A = 230 and binding energy per nucleon
εj1 = 7.4 MeV splits into two nuclei with binding energy per nucleon εj2 = 8.3 MeV. What energy is released during fission?

Solution:

atomove-jadro-18 

During fission, energy E = 107 MeV is released.


19.Boron, as it occurs in nature, is a mixture of two isotopes. The average atomic mass of boron is 10.82 mu. What percentage of each isotope is in natural boron if:

atomove-jadro-19z

Solution:

atomove-jadro-19r 

Natural boron contains 18% of the first isotope and 82% of the second isotope.


20.Compare the density of the hydrogen nucleus with the density of water.

Solution:

 atomove-jadro-20

The density of the hydrogen nucleus is about 1014 times greater than the density of water.