sk|cz|de|

Quadratic Logarithmic Equations

1. Solve:

log(x + 24) + log(x -24) = 2       x > 24
Solution:
log(x + 24) + log(x -24) = 2
log( (x +24)(x – 24)) = log100
(x +24)(x -24)  =  100
x2 – 576  =  100
x2 – 676 = 0
(x – 26)(x + 26) = 0 => x1 = 26 v x2 = -26

K = {26}

2. Solve:

logkvadrat1zad
Solution:
logkvadrat1

3. Solve:

logkvadrat3zad
Solution:
logkvadrat3

4. Solve:

logkvadr4zad
Solution:
logkvadr4

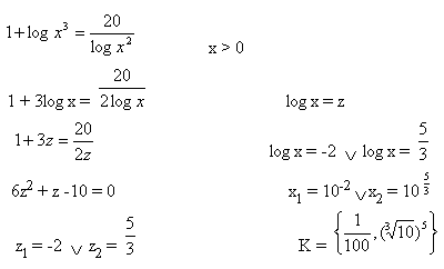
5. Solve:

logkvadr5zad

Solution:

Substitution:
logkvadr5


6. Solve:

logkvadr6zad
Solution:
logkvadr6

7. Solve:

logkvadr7zad
Solution:
logkvadr7

8. Solve:

logkvadr8zad
Solution:
logkvadr8

9. Solve:

logkvadr9zad
Solution:
logkvadr9

10. Solve in real numbers:

logaritmicke-kvadraticke-rovnice-10-1.gif

Solution:

logaritmicke-kvadraticke-rovnice-10-2.gif


11. Solve in real numbers:

logaritmicke-kvadraticke-rovnice-11-1.gif 

Solution:

logaritmicke-kvadraticke-rovnice-11-2.gif


12. Solve in real numbers:

logaritmicke-kvadraticke-rovnice-12-1.gif

Solution:

logaritmicke-kvadraticke-rovnice-12-2.gif


13. Solve in real numbers:

logaritmicke-kvadraticke-rovnice-13-1.gif

Solution:

logaritmicke-kvadraticke-rovnice-13-2


14. Solve in real numbers:

logaritmicke-kvadraticke-rovnice-14-1

Solution:

logaritmicke-kvadraticke-rovnice-14-2


15. Solve in real numbers:

logaritmicke-kvadraticke-rovnice-15-1

Solution:

logaritmicke-kvadraticke-rovnice-15-2


16. Solve in real numbers:

logaritmicke-kvadraticke-rovnice-16-1.gif

Solution:

logaritmicke-kvadraticke-rovnice-16-2


17. Solve in real numbers:

logaritmicke-kvadraticke-rovnice-17-1

Solution:

logaritmicke-kvadraticke-rovnice-17-2


18.Solve in real numbers:

logaritmicke-kvadraticke-rovnice-18-1

Solution:

logaritmicke-kvadraticke-rovnice-18-2


19. Solve in real numbers:

logaritmicke-kvadraticke-rovnice-19-1

Solution:

logaritmicke-kvadraticke-rovnice-19-2


20. Solve in real numbers:

logaritmicke-kvadraticke-rovnice-20-1.gif

Solution:

logaritmicke-kvadraticke-rovnice-20-2.gif