sk|cz|de|

Trigonometry

Formulae

To solve following problems you should use formulae from your math textbook.
Most frequently used formulae:
trigonometria-vzorce
If any other formula should be used, it will be mentioned in the set of the task.


1.Find the values of the other trigonometric functions:

trigonometria1
Solution:
trigonometria1r

2.Find the values of the other trigonometric functions:

trigonometria2
Solution:
trigonometria2r1
trigonometria2r2

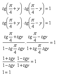
3.Find the values of the other trigonometric functions:

trigonometria3

Solution:
trigonometria3r