Lineární rovnice

1. V množině R řešte rovnici:

linearne_rovnice1
Řešení:
linearne_rovnice1

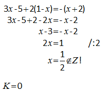
2. V množině R řešte rovnici:

linearne_rovnice2
Řešení:
linearne_rovnice2rn

3. V množině R řešte rovnici:

linearne_rovnice3
Řešení:
linearne_rovnice3

4 V množině R řešte rovnici:

linearne_rovnice4
Pro zobrazení řešení se přihlaste.

5. V množině R řešte rovnici:

linearne_rovnice5
Pro zobrazení řešení se přihlaste.

6. Řešte rovnici:

linearne-rovnice-6z.gif
Pro zobrazení řešení se přihlaste.

7. Řešte rovnici:

linearne-rovnice-7z.gif
Pro zobrazení řešení se přihlaste.


8. Řešte rovnici:

linearne-rovnice-8z.gif
Pro zobrazení řešení se přihlaste.

9.V množině N řešte rovnici:

linearne-rovnice-9z.gif
Pro zobrazení řešení se přihlaste.

10.

Z rovnice hf = W + 1/2mv2 vypočítejte a.) f, b.) m, c.) v
Z rovnice c2 = a2 + b2 – 2ab.cosγ vypočítejte a.) cos γ, b.) c

Pro zobrazení řešení se přihlaste.

11.V množině R řešte rovnici:

linearne-rovnice-11-z

Pro zobrazení řešení se přihlaste.


12.V množině R řešte rovnici:

linearne-rovnice-12-z
Pro zobrazení řešení se přihlaste.

13.V množine R riešte rovnicu:

linearne-rovnice-13-z

Pro zobrazení řešení se přihlaste.

14.V množině N řešte rovnici:

linearne-rovnice-14-z
Pro zobrazení řešení se přihlaste.

15.V množině N řešte rovnici:

linearne-rovnice-15-z
Pro zobrazení řešení se přihlaste.

16.V množině R řešte rovnici:

linearne-rovnice-16-z
Pro zobrazení řešení se přihlaste.

17. V množině R řešte rovnici:

linearne-rovnice-17-z
Pro zobrazení řešení se přihlaste.

18. V množině R řešte rovnici:

linearne-rovnice-18-z
Pro zobrazení řešení se přihlaste.

19. V množině Z řešte rovnici:


linearne-rovnice-19-z
Pro zobrazení řešení se přihlaste.

20.  V množině R řešte rovnici:

linearne-rovnice-20-z
Pro zobrazení řešení se přihlaste.

21. V množině R řešte rovnici:

linearne-rovnice-21-z
Pro zobrazení řešení se přihlaste.

22. V množině N řešte rovnici:

linearne-rovnice-22-z
Pro zobrazení řešení se přihlaste.


23.V množině N řešte rovnici:

linearne-rovnice-23-z
Pro zobrazení řešení se přihlaste.

24.V množině Z řešte rovnici:

linearne-rovnice-24-z
Pro zobrazení řešení se přihlaste.

25.V množině N řešte rovnici:

linearne-rovnice-25-z
Pro zobrazení řešení se přihlaste.