sk|en|de|

Skupenské změny

1.Vysvětlete skupenství látek a jejich změny!

Řešení:

Látky mohou být ve třech skupenstvích ( fázích ) - pevném , kapalném a plynném.

Tání - změna tuhé látky na kapalnou

Tuhnutí - změna kapalné látky na tuhou

Vypařování - změna kapalné látky na plynnou

Var - vypařování , při kterém se tlak nasycených par roven vnějšímu tlaku

Kondenzace - změna plynné látky na kapalnou

Sublimace - přímá změna tuhé látky na plynnou

fyzika-skupenske-zmeny-1.gif
                   
L  = skupenské teplo ( tání , tuhnutí , vypařování , varu ... )
l   = měrné skupenské teplo ( tání , tuhnutí , vypařování , varu ... )
m = hmotnost látky
                   
Pro led – voda – vodní pára platí:
t tán = t tuh = 00C,      t var = t kond =1000C,    

l tán = l tuh = 334.103J.kg-1,    l var = l kond = 2260.103J.kg-1

l vyp(200C) = 2430.103J.kg-1,  l sub = 2830.103J.kg-1

c(H2O) = 4180 J.kg-1.K-1,   c(led) = 2100 J.kg-1.K-1

Přeměna ledu na páru:     Q = Q1 + L1 +Q2 + L2 + Q3
Q1 = teplo potřebné na ohřátí ledu na teplotu tání
L1  = teplo potřebné k přeměně ledu na vodu
Q2 = teplo potřebné na ohřátí vody na teplotu varu
L2  = teplo potřebné k přeměně vody na páru
Q3 = teplo potřebné na ohřátí páry


2.Vypočítejte teplo potřebné k roztavení hliníkového předmětu o hmotnosti 10 kg a počáteční teplotě 200C. Použijte tabulky.

Řešení:

Rozbor:

m = 10 kg,  t1 = 200C,  tt (Al) = 6600C,  c(Al) = 896 J.kg-1.K-1
lt (Al) = 400.103J.kg-1

fyzika-skupenske-zmeny-2.gif 

Na roztavení hliníkového předmětu třeba asi 9,73 MJ tepla.


3.Určete měrné skupenské teplo tání mědi, pokud víte, že na roztopení 5 kg mědi ohřáté na teplotu tání, je třeba 1,02 MJ tepla.

Řešení:

Rozbor:

m = 5 kg,  L = 1,02.106J,

fyzika-skupenske-zmeny-3.gif 

Měrné skupenské teplo tání mědi je lt (Cu) = 204 000 J.kg-1


4.Do 5 litrů vody o teplotě 500C vložíme led. Jaká musí být hmotnost tohoto ledu aby se celý roztál a výsledná teplota vody po roztátí ledu byla 00C. Použijte tabulky!

Řešení:

Rozbor:

V=5 l => m1 = 5 kg,  t1 = 500C,  Δ t = 500C,  c1(H2O) = 4180 J.kg-1.K-1
lt (ľad) = 334 000 J.kg-1

fyzika-skupenske-zmeny-4.gif 

Hmotnost ledu musí být m = 3,13 kg.


5.Voda o hmotnosti 10 kg a teplotou 00C se zahřeje na 1000C a pak se celá vypaří na páru se stejnou teplotou. Jaké celkové teplo voda přijala? Kolik% z tohoto tepla připadá na ohřátí vody a kolik % na změnu skupenství? Použijte tabulky!

Řešení:

Rozbor:

m = 10 kg,  Δt = 1000C = 100 K,  c1 = 4180 J.kg-1.K-1,
lv = 2,26.106 J.kg-1

fyzika-skupenske-zmeny-5.gif 

Voda prijala celkom 26,78 MJ tepla.


6. Mosazný předmět má hmotnost 500 ga teplotu 200C. Vypočtěte měrné skupenské teplo tání mosazi, pokud víte, že na roztavení daného předmětu třeba 2,67.105 J tepla. Teplota tání mosazi je 9700C a měrná tepelná kapacita c (mosaz) = 394 J.kg-1K-1

Řešení:

Rozbor:

m = 0,5 kg,  Δt = 9700C-200C = 950 K,  Q =2,67.105J, c(mosadz) = 394 J.kg-1K-1

fyzika-skupenske-zmeny-6.gif 

Měrné skupenské teplo tání mosazi je lt = 159,7 kJ.kg-1


7.Mosazné těleso o hmotnosti 1 kg přijalo teplo 441 980 J, v důsledku čehož se část mosazi s hmotností 500 g roztála. Jaká byla počáteční teplota tělesa?

Řešení:

Rozbor:

tt = 9700C,  c = 394 J.kg-1.K-1,  lt = 159 700 J.kg-1, Q = 441 980 J
m1 = 1 kg,  m2 = 0,5 kg,  t1= ?

fyzika-skupenske-zmeny-7.gif 

Počáteční teplota mosazného tělesa byla 500C.


8.Určete hmotnost uhlí s výhřevností  30.106J.kg-1, které je třeba spálit v kotli (η = 70 %), aby se voda s hmotností  m1 = 6.103kg a teplotou t1 = 100C zahřála na t2 = 1000C a při této teplotě se ještě vypařilo m2 = 103kg vody.

Řešení:

Rozbor:

H = 30.106J.kg-1,  m1 = 6.103kg,  t1 = 100C,  m2 = 103kg,  t2 = 1000C
c(voda) = 4180 J.kg-1.K-1,  lV = 2,26.106J.kg-1,  η = 0,7

fyzika-skupenske-zmeny-8.gif 

Hmotnost uhlí je 215 kg.


9.Jaká musí být nejmenší rychlost olověné koule, aby se při nárazu na ocelovou desku celá roztála? Teplota koule před nárazem byla 270C. ( tt = 3270C, lt = 22 600 J.kg-1, c = 125 J.kg-1K-1)

Řešení:

Rozbor:

t1 =270C,   tt = 3270C, lt = 22 600 J.kg-1,  c = 125 J.kg-1K-1
Δt = 3270C – 270C = 3000C = 300 K

fyzika-skupenske-zmeny-9.gif 

Rychlost olověné koule musí býtť v = 346,7 m.s-1.


10.Nakreslete fázový diagram pro led - voda - pára. charakterizujte:

  • a.) všechny čtyři oblasti diagramu
  • b.) trojný a kritický bod
  • c.) nasycenou a přehřátou páru

Řešení:

pr10

 

 

ks – křivka sublimace

kt – křivka topení

kp – křivka nasycené páry

 

1) tuhá látka, led

2) kvapalina, voda

3) přehřátá pára

4) plyn

 

 

 

Trojný bod:(TA = 273,16K, pA = 610 Pa,) Při teplotě a tlaku trojného bodu může v uzavřené nádobě současně existovat led, voda a nasycená pára. Kritický bod:: (TK = 647,3 K, pK = 22,13 MPa,
ρK(H2O) = 315 kg.m-3). Při kritickém bodě nastává „kritický stav látky“. Mizí rozdíl mezi kapalinou a její syté páry. Látka se stává uniformní. Nasycená pára je v rovnovážném stavu se svou pevnou látkou. Přehřátá pára vznikne dalším zahříváním syté páry bez přítomnosti kapaliny. Podobá se na ideální plyn. Platí stavová rovnice. Plyn je přehřátá pára ohřátá na vyšší teplotu než je kritická teplota.


11.Při tepelné výměně probíhající za normálního tlaku roztál led o hmotnosti 2 kg s počáteční teplotou-100C. Vzniklou vodu ohřáli na 1000C a při této teplotě se celá vypařila. Vypočtěte celkové teplo, které soustava přijala.

Řešení:

Rozbor:

 skupenske-zmeny-11.gif

Soustava přijala 6,066 MPa tepla.


12.Ve vodě s hmotností 8 kg a teplotou 120C zkondenzovala vodní pára, čímž se teplota vody zvýšila na 600C. Určitě hmotnost zkondenzované páry.

Řešení: 

Rozbor:

skupenske-zmeny-12

Hmotnost zkondenzované páry je 0,71 kg.


13.240 gramů nasycené páry desublimuje tak, že každou minutu se uvolní 12 kJ tepla. Jaký čas trvala desublimace?

Řešení:

Rozbor:

skupenske-zmeny-13

Desublimace trvala 56,6 minúty.


14.Olověné těleso o hmotnosti 1 kg přijalo teplo 54500 J, v důsledku čehož se část olova o hmotnosti 0,5 kg roztavila. Jaká byla počáteční teplota tělesa?

Řešení:

Rozbor:

skupenske-zmeny-14

Počáteční teplota tělesa byla -7,90 C.


15.Vypočtěte hmotnost ledu s teplotou -200C, který se roztaví ve vodě s hmotností 1kg o teplotě 300C, pokud je výsledná teplota rovnovážného stavu 200C.

Řešení:

Rozbor:

skupenske-zmeny-15 

Hmotnost ledu je 91 gramů.


16. Na elektrickém vařiči s příkonem 600 W a účinností 60% se ohřívala voda s hmotností 2 kg a počáteční teplotou 100C na teplotu 1000C. Při této teplotě se odpařilo 5% vody. Jak dlouho trvalo ohřívání vody?

Řešení:

Rozbor:

skupenske-zmeny-16

Ohřívání vody trvalo 45,3 minuty.


17.Ve vodě o hmotnosti 2 kg a teplotou 180C kondenzovala pára s hmotností 0,1 kg as teplotou 1000C. Jaká je výsledná teplota vody?

Řešení:

Rozbor:

 skupenske-zmeny-17

Výsledná teplota vody je 47,650C.


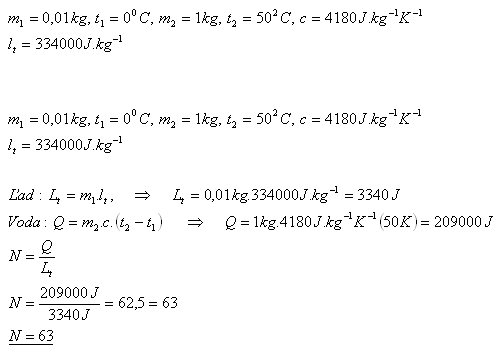
18.Kostka ledu má hmotnost 10 gramů a teplotu 00C. V kalorimetru je voda hmotnosti 1 kg a teploty 500C. Kolik kostek ledu musíme vložit do kalorimetru, aby se všechen led roztál a výsledná teplota vody v kalorimetru byla 00C. (Ztráty zanedbejte).

Řešení:

Rozbor:

skupenske-zmeny-18 

Do kalorimetru musíme vložit 63 kostek ledu.


19.Jaká energie se uvolní při zamrznutí rybníka o ploše 1ha, pokud se na něm vytvoří vrstva ledu o tloušťce 10cm? Počáteční teplota vody je 00C, vzniklý led má také teplotu 00C.

Řešení:

Rozbor:

skupenske-zmeny-19 

Při zamrznutí rybníka se uvolní 307,3 GJ energie.


20.Jak se liší vnitřní energie vody s hmotností 300 gramů a teplotou 200C od vnitřní energie vodní páry se stejnou hmotností a teplotou?

Řešení:

Rozbor:

 skupenske-zmeny-20

Vnitřní energie vody a páry se liší o 0,704 MJ.