sk|en|de|

Povrch kapalin

1. Vysvětlete fyzikální pojmy "povrchová vrstva" a "kapilarita"

Řešení:

Hladina a kapka kapaliny, bublina se chovají tak, jako by na jejich povrchu byla pružná blanka - "povrchová vrstva". Má tloušťku asi 10-9m. Je tvořena vrstvou molekul. Hladina a kapka mají jeden povrch, bublina dva povrchy.

Povrchové napětí:

fyzika-povrch-kvapalin-1.gif

  l = 2π.r      S = π.r2

  • Kapilární elevace = zvýšení hladiny smáčivé kapaliny v kapiláře
  • Kapilární deprese = snížení hladiny nesmáčivá kapaliny v kapiláře

2.Jaká je hmotnost kapky vody  (σ = 73.10-3N.m-1), která okapy z trubky s poloměrem 0,5 mm?

Řešení:

Rozbor:

R = 0,5.10-3m,  g = 10 m.s-2,  σ = 73.10-3N.m-1

fyzika-povrch-kvapalin-2.gif 

Hmotnost kapky vody je m = 22,9 mg.


3.Kapilára změřila 100 kapek lihu s hmotností 1,81 g. Stejný počet kapek vody z téže kapiláry a téže teploty má hmotnost 6,26 g. Určitě povrchové napětí lihu σ1 (líh) pokud víte, že povrchové napětí vody je σ2(H2O) = 73.10-3N.m-1.

Řešení:

Rozbor:

 fyzika-povrch-kvapalin-3.gif

Povrchové napětí líhu je σ1 = 21,1,10-3 N.m-1


4.Voda odkapává z kapiláry o poloměru r = 0,9 mm. Kolik kapek vody je v 1 cm3 vody?

(σ = 73.10-3N.m-1, ρ = 103kg.m-3)

Řešení:

r = 0,9 mm = 0,9.10-3m,  V0 = 1cm3 = 10-6m3, σ = 73.10-3N.m-1,  ρ = 103kg.m-3

fyzika-povrch-kvapalin-4.gif 

V 1cm3 vody je 24 kapek.


5.Pohyblivá příčka s délkou 40mm na rámečku s mýdlovou blánou je v rovnováze, pokud je zatížena závažím o hmotnosti 320 miligramů. Jaké je povrchové napětí mýdlového roztoku ve vodě ve styku se vzduchem? Blána má dva povrchy. (Hmotnost příčky zanedbat)

Řešení:

Rozbor:

l = 40.10-3m = 0,04m,  m = 320.10-6kg,  σ = ?

 fyzika-povrch-kvapalin-5.gif

Povrchové napětí mýdlového roztoku ve vodě je σ = 40 mN.m-1.


6. Určete práci (při izotermickém ději), kterou je třeba provést při nafouknutí mýdlové bubliny s průměrem 14 cm. Bublina má dva povrchy. σ = 40.10-3N.m-1

Řešení:

Rozbor:

fyzika-povrch-kvapalin-6.gif 

Při nafouknutí mýdlové bubliny třeba vykonat práci W = 3,3 mJ.


7.Mýdlová bublina (σ = 40.10-3N.m-1) má poloměr 2cm. Jakou práci vykonáme, pokud zvětšíme její poloměr o 1cm?

Řešení:

Rozbor:

R1 = 2.10-2m,  R2 = 3.10-2m,  σ = 40.10-3N.m-1,   ΔW = ?

 fyzika-povrch-kvapalin-7.gif

Pokud zvětšíme její poloměr bubliny o 1cm provedeme práci 4,243.10-4J.


8. Kapilární zvýšení - elevace - lihu je v úzké kapiláře 12mm. Jaký je vnitřní průměr kapiláry?
(ρ = 800 kg.m-3, σ = 21,4 mN.m-1)

Řešení:

Rozbor:

h = 12.10-3m,  ρ = 800 kg.m-3, σ = 21,4.10-3N.m-1

 fyzika-povrch-kvapalin-8.gif

Vnitřní průměr kapiláry je asi d = 0,9 mm.


9.Kapilára má vnitřní průměr 0,2 mm. Vypočítejte:

  • a.) Jak vysoko vystoupí v kapiláře benzén (ρ = 870 kg.m-3, σ = 29,1.10-3N.m-1)
  • b.) Jak se změní výška výstupu benzenu, pokud použijeme kapiláru s dvojnásobným poloměrem
  • c.) Jak by se změnil výsledek pokusu na Měsíci. (gM = 0,167g)

Řešení:

Rozbor:

R = 0,1mm =  10-4m,  ρ = 870 kg.m-3,  σ = 29,1.10-3N.m-1, gM = 0,167gZ

 fyzika-povrch-kvapalin-9.gif


10. Jaký bude rozdíl hladin ve dvou kapilárách ponořených do kapaliny (ρ = 800 kg.m-3, σ = 22.10-3N.m-1). Kapiláry mají rozdílné průměry vnitřního povrchu: d1 = 0,4mm, d2 = 1mm

Řešení:

Rozbor:

R1 = 0,2.10-3m,  R2 = 0,5.10-3m,  ρ = 800 kg.m-3,  σ = 22.10-3N.m-1

 fyzika-povrch-kvapalin-10.gif

Rozdíl hladin v kapilárách bude 16,5 mm.


11.Na rámu s pohyblivou příčkou s délkou 10 cm je mýdlová bublina. Jakou práci je třeba vykonat, aby se příčka posunula o 2cm.

Řešení:

povrch-kvapalin-11.gif 

Při posunutí příčky třeba vykonat práci 1,6.10–4J.


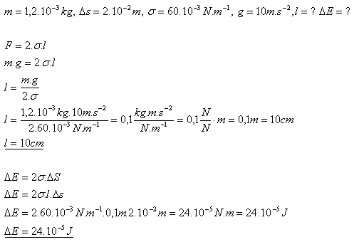
12.Rámeček s pohyblivým ramenem s hmotností 1,2 g je ve svislé poloze. Tíhová síla prodlužuje rameno a blánu v rovnováze. Jaká je délka ramene, pokud povrchové napětí blány je 60.10-3N.m-1. Jak se změní povrchová energie blány, pokud se rameno posune o 2cm.

Řešení:

povrch-kvapalin-12.gif 

Délka ramene je 10cm. Povrchová energie blány se zvětší o 24.10-5J


13.Vodní kapku o poloměru 3mm rozprášíme na drobné kapičky o poloměru 3.10-5mm. Kolikrát se při tom zvětší povrchová energie vodních kapek?

Řešení:

 povrch-kvapalin-13.gif


14.Jaký tlak má vzduch v mýdlové bublině o poloměru 2 mm, pokud atmosférický tlak je 101325 Pa?

Řešení:

povrch-kvapalin-14.gif 

Tlak vzduchu v mýdlové bublině je 101405 Pa.


15.V kapiláře vystoupil petrolej do výšky 13mm av jiné kapiláře se stejným poloměrem poklesla rtuť o 13,9 mm. Jaké je povrchové napětí rtuti, pokud hustota rtuti je 13,6.103kg.m3. Povrchové napětí petroleje je 27.10-3N.m-1 a jeho hustota je 0,8.103kg.m-3.

Řešení:

 povrch-kvapalin-15.gif

Povrchové napětí rtuti je 491 N.m-1.


16. V kapiláře o průměru 2 mm je voda. Jak vysoký sloupec vody zůstane v kapiláře, pokud oba její konce zůstanou otevřené.

povrch-kvapalin-16z.gif

Řešení:

Sloupec vody budou udržovat dva menisky, vrchní a spodní. Každý působí na vodu povrchovou silou F, která je v rovnováze s tíhovou silou vody.

povrch-kvapalin-16r.gif 

Sloupec vody v kapiláře bude 2,92 cm vysoký.


17.Z kapiláry odkapalo 100 kapek vody celkové hmotnosti 2,4 g. Hmotnost 50 kapek glycerinu z téže kapiláry je 1,1 g. Jaký je poměr povrchových napětí obou kapalin?

Řešení:

povrch-kvapalin-17.gif 

Poměr povrchových napětí obou kapalin je 12:11


18. Jaké je povrchové napětí glycerinu? (Použijte výsledek příkladu 17)

Řešení:

 povrch-kvapalin-18.gif

Povrchové napětí glycerinu je 67.10–3N.m-1


19.Při spojení N vodních kapek s poloměrem 2.10–6m  do jedné kapky s poloměrem 2.10–3m se uvolní 3,668 mJ energie. O kolik se voda ohřeje?

Řešení:

 povrch-kvapalin-19.gif

Voda sa ohřeje o 0,0260C.


20.Vypočtěte povrchovou energii kapky rtuti, která má objem 1cm3.

Řešení:

povrch-kvapalin-20.gif 

Povrchová energie kapky rtuti je 2,37.10–4J.