sk|en|de|

Kuželosečky

1. Co víte o kuželosečkách:

Riešenie:

Kružnice je množina bodů roviny, které mají od pevného bodu roviny S stejnou vzdálenost r. S [m, n] je střed ar poloměr kružnice.

Elipsa je množina bodů roviny, jejichž součet vzdáleností od bodů  F1,F2 roviny je roven 2a.  Body F1[-e;0] ,F2[e;0] jsou ohniska, excentricita e2 = a2- b2, a – velká, b - malá poloos.

Hyperbola je množina bodů roviny, pro které absolutní hodnota rozdílu vzdiakeností od bodů F1,F2 roviny je roven 2a. Body F1[-e;0] , F2[e;0] jsou ohniska , excentricita e2 = a2 + b2. a – reální ,b – imaginární poloos. Rovnice asymtot hyperbboly: ( o || x ) : kuzelosecky-1

Parabola je množina bodů roviny, jejichž vzdálenost od bodu F roviny a od přímky d ležící v rovině je stejná. Bod F je ohnisko paraboly d - řídicí přímka. Bod F neleží na d. Hodnota p je parametr paraboly.

Vzájemnou polohu kuželosečky a přímky zjistíme řešením soustavy jejich rovnic, což vede na řešení kvadratické rovnice. Pokud D> 0 přímka je sečnica, jestliže D = 0 přímka je tečna, jestliže D <0 přímka je nesečnica.

kuzelosecky-1t


2.Napište rovnici kružnice, která má poloměr r = 8 a dotýká se obou souřadnicových os.

Řešení:

kuzelosecky-2


3.Napište rovnici kružnice, jejímž průměrem je úsečka AB, jestliže A [-1 ; 4 ], B [ 5 ; 6 ]

Řešení:

kuzelosecky-3


4. Dokažte, že rovnice k x2 + y2 +2x +4y +1 = 0 a k2 : x2 +y2-8x +6y + 9 = 0 představují kružnice. Napište rovnici přímky, která prochází středy těchto kružnic.

Řešení:

kuzelosecky-4


5.Bodem A [4; 2] prochází kružnice, která se dotýká souřadnicových os. Napište rovnici této kružnice.

Řešení:

kuzelosecky-5


6. Bod A [-4; 5] je vrcholem čtverce, jehož úhlopříčka leží na přímce p: [7x - y + 8 = 0]. Napište rovnici kružnice, která je mocnině popsána.

Řešení:

kuzelosecky-6


7.Napište rovnici kružnice, jejíž střed S leží na přímce p: [x - y - 1 = 0] a která zároveň prochází body A [-1, -1] a B [0; 6]

Řešení:

kuzelosecky-7


8.Napište rovnici kružnice, která prochází body K [2; -1] L [5; -2] M [10; 3]

Řešení:

kuzelosecky-8


9.Vyšetřete vzájemnou polohu přímky p: [2x – y – 6 = 0] a kružnice k: [x2 + y2 – 4x -5y -1 = 0]

Řešení:

kuzelosecky-9


10. Napište rovnici kružnice souměrné s kružnicí k1: ( x–1 )2 +(y–2)2 = 1 vzhledem na přímku p: x – y – 3 = 0

Řešení:

kuzelosecky-10


11.Dva vrcholy kosočtverce jsou v ohniscích elipsy  9x2 + 25y2 - 225 = 0, další dva jsou ve vrcholech elipsy na její vedlejší osy. Vypočítejte obsah kosočtverce.

Řešení:

kuzelosecky-11


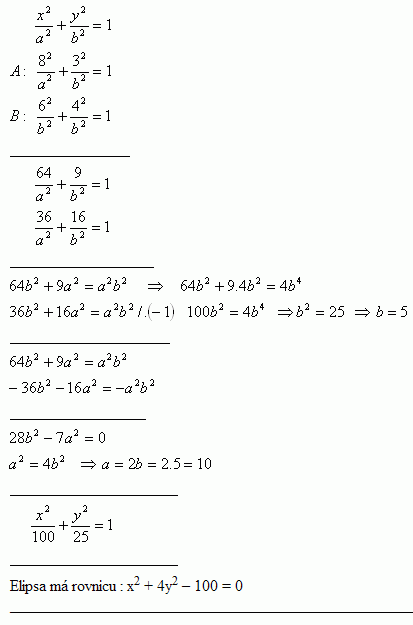
12.Určete rovnici elipsy ve středovém tvaru S [0; 0], která prochází body A [8; 3] a [6; 4]

Řešení:

kuzelosecky-12


13.Napište rovnici přímky, která prochází bodem A [1; 5] a středem elipsy 4x2 + 9y2 - 24x + 36y +36 = 0

Řešení:

kuzelosecky-13


14.Do elipsy 2x2 + y2 – 4x + 4y – 108 = 0 je vepsán čtverec ABCD. Zjistěte jaký je jeho obvod a obsah.

Řešení:

2x2 + y2 – 4x + 4y – 108 = 0
(2x2-4x) + (y2+4y) = 108
2(x2-2x+1) +(y2+4y+4) = 108+2+4
2(x-1)2 + ( y+2)2 =114           y = x
2(x2- 2x+1 ) + ( x2 +4x +4 ) = 114
3x2 – 108 = 0
3x2 = 108
x2 = 36
x =+- 6
             
X = (1+x ; -2+x )
A [7; 4 ]    B [-5; 4]     C [ -5; -8]     D [ 7 ; -8]
a = | AB| = |BC| = |CD| = |DA| = 12
a = 12 j
O = 4a ,            S = a2
O = 4.12           S = 122
O = 48 j            S = 144 j2

Obvod čtverec je O = 48 j, jeho obsah je S = 144 j2


15. Zjistěte vzdálenost středu elipsy  4x2 + 9y2 -16x + 36y + 16 = 0 od přímky5x-12y+5 = 0

Řešení:

kuzelosecky-15


16.Na elipse se středem S [3; 2], osou b = 4, excentricitou e = 3 najděte bod, jehož souřadnice y = 2

Řešení:

kuzelosecky-16


17.Je dán trojúhelník Δ ABC se stranami | AB | = 6, | AC | = 7, | BC | = 3. Napište rovnici elipsy, která má ohniska v jeho dvou vrcholech a prochází třetím vrcholem trojúhelníku.

Řešení:

kuzelosecky-17


18.Určitě a vyšetřete kuželosečky, která prochází body : K[0;0], L[8;0], M[0;6], N[8;6]. O[2;-2]

Řešení:

Ax2 + By2 +Cx + Dy + E = 0

Riešte sústavu rovníc:

K: 0 + 0 + 0 + E = 0

L: 64A + 0 + 8C + 0 +E = 0

M: 0 + 36B + 0 + 6D + E = 0

N: 64A + 36B + 8C + 6D + E = 0

O: 4A + 4B + 2C – 2D + E = 0


A = 4, B = 3, C = -32, D = -18, E = 0

4x2 + 3y2 – 32x -18y = 0 .


Kužeľosečka je elipsa s rovnicou 4x2 + 3y2 -32x -18y = 0   


19.Vypočítejte délku tětivy, kterou přímka 2x + y - 14 = 0 porážet na elipse 4x2 +y2 -100= 0

Řešení:

kuzelosecky-19


20.Napište rovnici elipsy, kdy je dán bod M [3, -1], který je koncovým bodem malé poloosy b, ohniska leží na přímce p: y + 6 = 0. Pro excentricita elipsy platí:

kuzelosecky-20z

Řešení:

kuzelosecky-20r  


21.Určete střed a poloosy hyperboly 9x2 -16y2 -36x + 32y – 124 = 0. Určitě také rovnice asymptot hyperboly.

Řešení:

kuzelosecky-21 


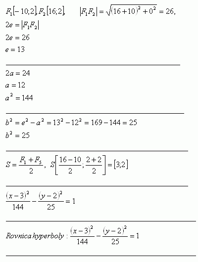
22. Napište rovnici hyperboly, pokud pro její ohniska platí: F1 [-10; 2], F2 [16; 2]. Reálná os 2a = 24

Řešení:

kuzelosecky-22


23. Napište rovnici přímky na níž leží os souměrnosti úsečky, která spojuje středy hyperbol x2 – y2 +6x -8y – 107 = 0, a 16x2 -9y2 -160x + 36y +220 = 0

Řešení:

kuzelosecky-23


24.Dána je hyperbola 16x2 – 25y2 – 400 = 0. Napište:

  • a) rovnice asymptot,
  • b) úhel asymptot

Řešení:

kuzelosecky-24


25.Napište osovou rovnici hyperboly, která prochází body:

kuzelosecky-25z

Řešení:

kuzelosecky-25r


26.Dokažte, že součin vzdáleností libovolného bodu M hyperboly 2x2 – y2 – 2 = 0 od jejích asymptot je stálý a rovný 2: 3

Řešení:

kuzelosecky-26


27.Najděte množinu všech bodů v rovině, které mají od bodu M [-5; 0] a od přímky p: 5x + 16 = 0 konstantní poměr vzdáleností rovný
5: 4

Řešení:

kuzelosecky-27


28. Napište rovnici hyperboly, jejíž vrcholy jsou v ohniscích elipsy x2 + 2y2 – 18 = 0 a jejíž ohniska jsou ve vrcholech této elipsy

Řešení:

kuzelosecky-28


29. Napište rovnici přímky, která prochází bodem M [5; 4] a vrcholem V paraboly y2- 6x +10y +31 = 0

Řešení:

kuzelosecky-29


30. Dané jsou paraboly x2 - 8x - 3y +10 = 0 a x2 + 14x - 4y +61 = 0. Vypočítejte vzdálenost jejich vrcholů |V1V2|

Řešení:

kuzelosecky-30


31.Napíšte rovnici paraboly (o||y) která prechochází body K[1;2], L[3;1], M[7;5].

Řešení: 

x2 +Ax + By + C = 0

K: 1 + A + 2B +C = 0

L: 9 +3A + B +C = 0

M: 49 +7A +5B +C = 0


A = -6, B = -4, C = 13,

x2 – 6x – 4y +13 = 0


x2 – 6x – 4y +13 = 0

x2 – 6x +9 = 4y -13 +9

(x – 3)2 = 4y – 4

(x – 3)2 = 4.(x –1)

Rovnica paraboly je (x – 3)2 = (y – 1) .


32.Na jaké čáře leží body v rovině, jejichž součet vzdáleností od osy xa od bodu B [8; 0] je stále stejný a rovný 24.

Řešení:

kuzelosecky-32 

Čiara je parabola (x-8)2 = -48(y-12), o||-y


33.Parabola má rovnici p: y2 = 8x. Vypočítejte souřadnice čtverce ABCD, jestliže A splývá s vrcholem paraboly, C leží na ose xa body B, D leží na parabole.

Řešení:

kuzelosecky-33 

Vrcholy štvorca sú: A[0;0], B[8;8], C[16;0], D[8;-8]


34.Určitě stranu rovnostranného trojúhelníku Δ ABC vepsané do paraboly y2 = 5x

Řešení:

kuzelosecky-34


35. Vypočítejte délku tětivy, kterou vytíná parabola y2 = 2x na elipse 4x2 + 9y2 – 400 = 0.

Řešení:

kuzelosecky-35 

Dĺžka tetivy je |AB|=16j.


36.Určete polohu bodů A.B, C, D v nichž elipsa x2 + 2y2 -18 = 0 přetíná hyperbolu x2 – y2 – 9 = 0.

Řešení:

kuzelosecky-36


37. Na elipse najděte body, které mají od pravého ohniska (e> 0) vzdálenost r = 14. Rovnice elipsy:

kuzelosecky-37z

Řešení:

Elipsa : a2 = 100, b2 =36, e2 = a2 – b2 = 100 – 36 = 64, e = 8

Kružnica : S = F2[8;0] r = 14

( x – 8 )2 + y2 = 142

x2 – 16x + 64 +y2 – 196 = 0 y2 = -x2 +16x + 132

Elipsa :

kuzelosecky-37r1

 Hľadané body:

kuzelosecky-37r2


38.Vypočítejte obvod obdélníka ABCD, jehož vrcholy jsou průsečíky kružnice k: x2 + y2 = 50 a hyperboly h: x2 – y2 = 48.

Řešení:

kuzelosecky-38 

Obvod obdélníku je O = 32j