sk|en|de|

Zrcadla

1. Vysvětlete vytvoření obrazu pomocí kulového (sférického) zrcadla.

Řešení:

fyzika-zrkadla-1.gif


2.Předmět vysoký 7 cm stojí kolmo na optickou osu ve vzdálenosti 6 cm od vrcholu dutého zrcadla s poloměrem 4 cm. Určete polohu a vlastnosti obrazu.

Řešení:

Rozbor:

fyzika-zrkadla-2.gif 

Obraz je zmenšený, převrácený, skutečný a vysoký 3,5 cm. Leží 3 cm od vrcholu zrcadla.


3.Předmět vysoký 6,5 cm stojí kolmo na optickou osu dutého zrcadla ve vzdálenosti 1 cm od vrcholu zrcadla. Poloměr zrcadla je 4 cm. Určete polohu a vlastnosti obrazu.

Řešení:

Rozbor:

fyzika-zrkadla-3.gif 

Obraz je zvětšený, vzpřímený, zdánlivý, vysoký 13 cm. Vznikne 2 cm za zrcadlem.


4.Duté zrcadlo s poloměrem křivosti 1 m vytváří zdánlivý obraz 3 m za zrcadlem. V jaké vzdálenosti před zrcadlem stojí předmět? Jaké je zvětšení obrazu?

Řešení:

Rozbor:

 fyzika-zrkadla-4.gif

Vzdálenost předmětu od zrcadla je asi 0,43 m. Obraz je zvětšený 7krát.


5.Předmět je umístěn ve vzdálenosti 60 cm od vrcholu dutého zrcadla. Určete ohniskovou vzdálenost zrcadla, pokud skutečný obraz předmětu (Z < 0), vytvořený zrcadlem na stínítku, je zvětšený 1,5krát.

Řešení:

Rozbor:

 fyzika-zrkadla-5.gif

Ohnisková vzdálenost zrcadla je f = 36 cm. Obraz je zvětšený, převrácený a skutečný.


6.Kam je třeba umístit před duté zrcadlo s ohniskovou vzdáleností f = 40 cm předmět, abychom dostali převrácený obraz 4krát větší než předmět?

Řešení:

Rozbor:

 fyzika-zrkadla-6.gif

Předmět je třeba umístit do vzdálenosti 50 cm před zrcadlo.


7.Předmět se nachází od dutého zrcadla ve vzdálenosti 1,4 m a jeho obraz 0,6 m. Určete ohniskovou vzdálenost zrcadla, jeho poloměr křivosti a zvětšení obrazu.

Řešení:

Rozbor:

 fyzika-zrkadla-7.gif

Ohnisková vzdálenost zrcadla je f = 0,42 m, poloměr křivosti r = 0,84 m a zvětšení Z = –0,43.


8.Předmět stojí 60 cm před dutým zrcadlem. Pokud se předmět přiblíží k zrcadlu o 10 cm, zvětší se vzdálenost obrazu od zrcadla o 80 cm. Jaká je ohnisková vzdálenost zrcadla?

Řešení:

Rozbor:

 fyzika-zrkadla-8.gif

Ohnisková vzdálenost zrcadla je f1 = 40 cm, nebo f2 = 85,7 cm.


9. V jaké vzdálenosti od vypuklého zrcadla (a < 0, f < 0) je třeba umístit zdroj světla, aby jeho obraz byl ve vzdálenosti 60 cm od zrcadla? Ohnisková vzdálenost zrcadla je 90 cm.

Řešení:

Rozbor:

 fyzika-zrkadla-9.gif

Zdroj světla je třeba umístit 180 cm od zrcadla.


10. Člověk se dívá na postříbřenou kouli (a < 0, f < 0) s poloměrem 0,3 m, která je od něj vzdálena 0,25 m. V jaké vzdálenosti od pozorovatele se nachází jeho obraz?

Řešení:

Rozbor:

 fyzika-zrkadla-10.gif

Jeho obraz se nachází ve vzdálenosti x = 34,375 cm od pozorovatele.


11.Na rovinné zrcadlo dopadá světelný paprsek. Zrcadlo se otočí o úhel α = 1o kolem osy ležící v rovině zrcadla a kolmé na paprsek. O kolik se posune světelná stopa na stínítku, které je kolmé na odražený paprsek a vzdálené 5 m od zrcadla.

Řešení:

Rozbor:

α = 1o, l = 5 m,   ω = ?,  x = ?

Pokud se zrcadlo otočí o úhel α, světelný paprsek se vychýlí o úhel 2α.

zrkadla-11

Světelný paprsek se na stínítku posune o 17,5 cm.


12.Pomocí rovinného zrcadla, ve kterém vidíme vrchol věže, můžeme určit výšku věže. Jak vysoká je věž, jestliže oko pozorovatele je ve výšce 1,6 m nad povrchem země? Zrcadlo leží na zemi ve vzdálenosti 45 m od věže a 1 m od pozorovatele?

Řešení:

zrkadla-12 

Věž je vysoká 72 metrů.


13.Světelný paprsek, který má vodorovný směr, dopadá kolmo na svislé stínítko. Pokud do dráhy paprsku ve vzdálenosti 60 cm od stínítka vložíme rovinné zrcadlo (šikmo k dopadajícímu paprsku), posune se na stínítku světelná skvrna o 5,2 cm.  Jaký je úhel dopadu paprsku na zrcadlo?

Řešení:

 zrkadla-13

Úhel dopadu paprsku na zrcadlo je α = 87o30/.


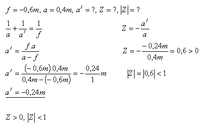
14.Na ose vypuklého zrcadla s ohniskovou vzdáleností 60 cm je předmět ve vzdálenosti 40 cm. Určete polohu a vlastnosti obrazu.

Řešení:

zrkadla-14 

Obraz vznikne 0,24 m za zrcadlem. Je zmenšený, přímý a zdánlivý.


15.Automobil, jehož výška je 1 m, stojí ve vzdálenosti 2 m od vypuklého dopravního zrcadla. Jaká je ohnisková vzdálenost zrcadla, když se obraz automobilu v zrcadle jeví 0,18 m vysoký.

Řešení:

 zrkadla-15

Ohnisková vzdálenost vypuklého zrcadla je f = –0,44 m.


16.Vypočítejte výšku obrazu člověka vysokého 180 cm ve vypuklém zrcadle s ohniskovou vzdáleností 45 cm. Člověk je od zrcadla vzdálen 3 m.

Řešení:

zrkadla-16 

Výška obrazu člověka ve vypuklém zrcadle je 234 mm.


17.Obraz svíčky postavené před vypuklým zrcadlem s ohniskovou vzdáleností 25 cm je zmenšen na pětinu. Kde se nachází svíčka?

Řešení:

zrkadla-17 

Svíčka se nachází 1 metr před zrcadlem.


18.Vzdálenosti předmětu a jeho obrazu od vrcholu dutého zrcadla jsou v poměru 1 : 4. Určete poloměr křivosti zrcadla, pokud vzdálenost předmětu od vrcholu zrcadla je 50 cm.

Řešení:

zrkadla-18
  • Poloměr křivosti dutého zrcadla je r = 0,8 m.
  • Obraz svíčky je zvětšený, převrácený a skutečný.

19.Předmět vysoký 1 cm stojí před kulovým zrcadlem ve vzdálenosti 10 cm. Zrcadlo vytvoří přímý obraz vysoký 3 cm. Jaké je to zrcadlo a jaký vytvoří obraz?

Řešení:

zrkadla-19
  • Jedná se o duté zrcadlo s ohniskovou vzdáleností f = 0,15 m.
  • Obraz je zvětšený, přímý a zdánlivý.

20.Bodový zdroj světla je umístěn na optické ose dutého kulového zrcadla ve vzdálenosti od vrcholu zrcadla, která se rovná dvojnásobku poloměru křivosti. Kde je umístěn obraz zdroje a jaké má vlastnosti.

Řešení:

zrkadla-20 

Obraz zdroje je ve vzdálenosti 2/3 r od vrcholu zrcadla. Obraz je skutečný.