sk|en|de|

Přímka v prostoru

1. Co víme o vlastnostech přímky v prostoru?

Řešení:

priamka-v-priestore-1


2.Napište parametrické vyjádření přímky, která prochází bodem A [2; 4; -3], rovnoběžně s přímkou ​​BC, pokud B [3, 2, -1], C [7; 1; 9]. Zjistěte, který z bodů M [-1, 2, 0], N [6; 3; 7] leží na této přímce.

Řešení:

priamka-v-priestore-2

Na přímce p leží bod N [6;3;7] 


3.Přímka p je rovnoběžná s přímkou ​​AB jestliže A [4; -7; 2]. B [-1; 3; 6]. Určitě Yc a Zc tak, aby bod

C [2; Yc; Zc] ležel také na této přímce.

Řešení:

priamka-v-priestore-3


4.Dán trojúhelník Δ ABC vrcholy A [-2; 5; 4;], B [2, 3, -1], C [2; 7; -2]. Napište parametrické vyjádření stran trojúhelníku a = BC, b = AC,
c = AB

Řešení:

priamka-v-priestore-4


5.Daný je bod M [3;2;-1] a parametrické vyjadrenie priamky p

priamka-v-priestore-5z

Napište :

  • a) rovnice přímky q, která prochází bodem M rovnoběžně s p
  • b) rovnice přímky q, která prochází bodem M kolmo k p
  • c) rovnice přímky q, která je rovnoběžná s osou y

Řešení:

priamka-v-priestore-5r


6.Zjistěte vzájemnou polohu přímek, jejichž parametrické vyjádření je:

priamka-v-priestore-6z

Řešení:

priamka-v-priestore-6r
 

Priamky sú mimobežné. (t =1, s = -4 nevyhovuje y-ovej súradnici)


7.Dané jsou dvě přímky p a q. Zjistěte jejich vzájemnou polohu. Pokud se protínají zjistěte jejich průsečík a úhel mezi nimi.

Řešení:

 priamka-v-priestore-7

Přímky se protínají v bodě P [3; 5; 7] a svírají úhel φ =38,210


8.Zjistěte vzájemnou polohu přímek paq, jejich průsečík a úhel, který svírají. Vypočtěte také vzdálenost bodu M [5; -1; 4] od průsečíku přímek.

priamka-v-priestore-8z 

Řešení:

priamka-v-priestore-8r 


9.Rozhodněte, který z bodů A, B leží na přímce p, pokud platí:

priamka-v-priestore-9z.gif

Řešení:

priamka-v-priestore-9r

Na přímce p leží bod B[7;-7;6].


10.Napište parametrické vyjádření přímky, která prochází body A [3; -7; 2], B [5; -4; 1] a určete souřadnice x, z bodu C [x; 2; z] tak, aby ležel na přímce p..

Řešení:

priamka-v-priestore-10

Souřadnice hledaného bodu jsou C[9;2;-1].


11.Zjistěte vzájemnou polohu přímek paqv prostoru pokud platí:

priamka-v-priestore-11z

Řešení:

 priamka-v-priestore-11r

Přímky p a q jsou rovnoběžné.


12.Určete vzájemnou polohu přímek paqv prostoru, pokud platí:

priamka-v-priestore-12z

Řešení:

 priamka-v-priestore-12r

Přímky p a q jsou různoběžné. Protínají se v bodě P [-3; 5; -3].


13.Určitě odchylku přímek paqv prostoru, pokud platí:

priamka-v-priestore-13z

Řešení:

priamka-v-priestore-13r 

Odchylka přímek p a q je α = 300.


14.Určiete úhel mezi přímkami p a q v prostoru, pokud platí:

priamka-v-priestore-14z

Řešení:

priamka-v-priestore-14r 

Přímky p a q jsou rovnoběžné.


15.Dané jsou body A, B, C. Napište parametrické vyjádření přímky p, která prochází středy úseček AB a BC. Řešte pro body:

priamka-v-priestore-15z

Řešení:

priamka-v-priestore-15r


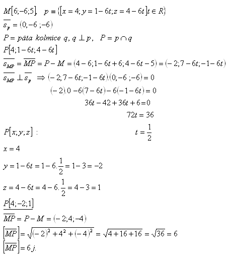
16.Vypočtěte vzdálenost bodu M od přímky p, jestliže platí:

priamka-v-priestore-16z

Řešení:

priamka-v-priestore-16r 

Vzdálenost bodu M od přímky p je 6j.


17.Dané jsou přímky p a q. Najděte vektor, který je kolmý na oba směrové vektory daných přímek.

Řešte pro přímky:

priamka-v-priestore-17z

Řešení:

priamka-v-priestore-17r


18.Dané jsou přímky p a q. Určitě "m" tak, aby přímky byly různoběžné. Určitě jejich průsečík.

Řešte pro přímky:

priamka-v-priestore-18z

Řešení:

priamka-v-priestore-18r

Přímky paq budou různoběžné pro m = 3. Jejich průsečík je P [-3; 6; 4].


19.Vypočtěte vzdálenost bodu M od průsečíku přímek p a q. Řešte pro bod M [2, 3, -23] a přímky:

priamka-v-priestore-19z

Řešení:

priamka-v-priestore-19r

Vzdálenost P,M je 25j


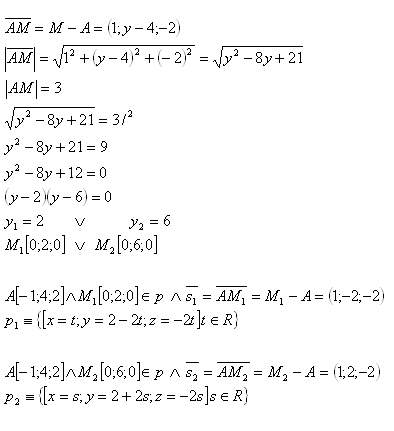
20.Daný je bod A [-1; 4; 2]. Na ose "y" určitě bod M, aby platilo | AM | = 3 Napište také parametrické vyjádření přímky AM.

priamka-v-priestore-20z

Řešení:

priamka-v-priestore-20r