sk|en|de|

Kirchhoffovy zákony

1. Vysvětlete použití Kirchhoffových zákonů v elektrotechnice.

Řešení:

Kirchhoffovy zákony se používají při řešení rozvětveného elektrického obvodu - (elektrické sítě), který má více zdrojů a rezistory jsou různé pospojovány. Uzel je místo v obvodu, kde se stýkají nejméně tři vodiče. Větev je část elektrického obvodu mezi dvěma uzly.

fyzika-kirchoffove-zakony-1.gif


2.Proud 1,5 A se rozvětvuje do dvou paralelně zapojených rezistorů R1 = 4Ώ a R2 = 6Ώ. Jak velký proud je v každém rezistoru?

Řešení:

Rozbor:

I = 1,5A,  R1 = 4Ώ ,  R2 = 6Ώ,  I1 = ?,  I2 = ?

fyzika-kirchoffove-zakony-2.gif 

Rezistory procházejí proudy I1 = 0,9A, I2 = 0,6A.


3.Dva spotřebiče s odpory R1 = 400Ώ a R2 = 600Ώ jsou paralelně zapojeny a připojeny na napětí na napětí 300V. Určitě elektrické proudy procházející spotřebiči.

Řešení:

Rozbor:

R1 = 400Ώ,   R2 = 600Ώ,  U = 300V,  R = ?,  I = ?,  I1 = ?,  I2 = ?

 fyzika-kirchoffove-zakony-3.gif

Spotřebiči procházejí proudy I1 = 075A a I2 = 0,5A.


4.Ampérmetr má rozsah 1,2 A a odpor 0,02 Ώ. Jaký musí být odpor bočníku, abychom mohli měřit proudy do 6A?

Řešení:

Rozbor:

I = 1,2A,  RA = 0,02Ώ, I‘ = 6A,   Rb = ?

fyzika-kirchoffove-zakony-4.gif 

Odpor bočníku musí být Rb = 0,005Ώ.


5.Voltmetr je konstruován na maximální napětí 10V a chceme měřit napětí do 100V. Jaký bude odpor předřazeného rezistoru, pokud RV = 1kΏ?

Řešení:

Rozbor:

U‘ = 100V,  U = 10V,  RV = 1000Ώ,  Rp = ?

fyzika-kirchoffove-zakony-5.gif 

Odpor předřazeného rezistoru bude 9kΏ.


6. Dva rezistory s odpory R1 = 5Ώ a R2 = 10Ώ jsou spojeny paralelně a zapojené na konstantní napětí
U = 4,5 V. Vypočítejte výsledný odpor R, celkový proud I a proudy procházející jednotlivými rezistory.

Řešení:

kirchhoffove-zakony-7.gif


7.Tři rezistory jsou zapojeny do série. Úbytek napětí na rezistoru R1 = 36Ώ je U1 = 9V.  Určete napětí U2 na rezistoru R2 = 64 Ώ a odpor R3, pokud napětí na svorkách zdroje je U = 120V.

Řešení:

 kirchhoffove-zakony-8.gif

Na rezistoru R2 je napětí U2 = 16V. Třetí rezistor má odpor R3 = 380 Ώ.


8.Tři rezistory s odpory R1 = 15Ώ, R2 = 21Ώ a R3 = 14Ώ jsou spojeny sériově. Jaké je napětí na jednotlivých rezistorech, pokud celkové napětí zdroje je U = 40V. Jak velký proud prochází každým rezistorem?

Řešení:

 kirchhoffove-zakony-9.gif

  • Napětí na jednotlivých rezistorech jsou  U1 = 12V, U2 = 16,8V, U3 = 11,2V.
  • Každým rezistorem prochází proud 0,8 A.

9. Proud I = 4A se rozvětvuje do tří vodičů s odpory R1 = 2Ώ, R2 = 5Ώ, R3 = 10Ώ. Vypočítejte celkový odpor zapojení a napětí zdroje. Jak velké proudy jsou v jednotlivých vodičích?

Řešení:

kirchhoffove-zakony-10.gif 

Proudy v jednotlivých vodičích jsou I1 = 2,5A, I2 = 1A, I3 = 0,5A.


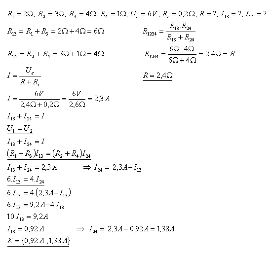
10.Dva rezistory s odpory R1 a R3 jsou zapojeny sériově. Další dva R2 a R4 jsou zapojeny také sériově. Obě větve rezistorů jsou spojeny paralelně a zapojené na zdroj (Ue = 6V, Ri = 0,2 Ώ). Vypočítejte proudy procházející jednotlivými větvemi.

Řešení:

kirchhoffove-zakony-11.gif


11.Ze zdroje s napětím Ue = 150V (Ri = 0) prochází proud rezistorem R1 = 38Ώ. Pak se větví do paralelně spojených rezistorů s odpory R2 = 20Ώ a R3 = 30Ώ. Vypočítejte proudy v jednotlivých větvích zapojení.

Řešení:

kirchhoffove-zakony-12.gif


12.Dvě žárovky s příkony P1 = 45W a P2 = 5W jsou zapojeny paralelně ke zdroji, kterým prochází proud I = 3A. Určete proudy, které procházejí žárovkami.

Řešení:

kirchhoffove-zakony-13.gif 

Jednotlivými žárovkami procházejí proudy I1 =2,7A a I2 = 0,3A.


13.Na kolik stejných částí třeba rozdělit drát s odporem R1 = 18Ώ, abychom je paralelním spojením dostali odpor R = 0,5 Ώ.

Řešení:

Rozbor:

R1 = 18Ώ,  R = 0,5Ώ,  n = ?

Odpor celého drátu R1, odpor jedné části drátu R = R1 / n Odpor paralelně spojených stejných částí drátu:

 kirchhoffove-zakony-14.gif

Drát třeba rozdělit na 6 stejných částí.


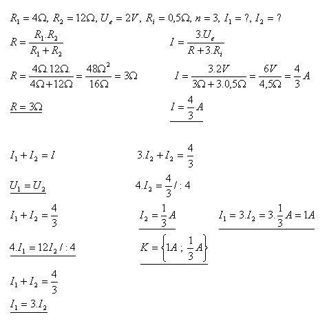
14.Jak velký proud je ve větvích, pokud R1 = 4Ώ, R2 = 12Ώ a když každý článek má elektromotorické napětí
Ue = 2V a vnitřní odpor Ri = 0,5 Ώ, n = 3

Řešení:

kirchhoffove-zakony-15.gif