sk|en|de|

Špeciálna teória relativity

1. Vysvětlete rozdíl mezi klasickou fyzikou a speciální teorií relativity,

Řešení:

Klasická fyzika (Archimedes, Newton) zkoumá fyzikální vlastnosti těles, která jsou poměrně velká a pohybují se malými rychlostmi (v<<c). Považuje hmotnost, délku, čas, současnost dvou událostí, hybnost a energii za neměnné, nezávislé na rychlosti pohybu.

Speciální teorie relativity (Einstein) studuje pohyby těles, která se pohybují rychlostmi srovnatelnými s rychlostí světla ve vakuu c.

fyzika-specialna-teoria-relativity-1.gif


2.Ze zdroje elektronů vyletí opačnými směry dva elektrony. Každý elektron má rychlost v1 = v2 = 0,8c vzhledem k tomuto dělu. Jaká je jejich relativní rychlost?

Řešení:

Rozbor:

fyzika-specialna-teoria-relativity-2.gif 

Relativní rychlost elektronů je w = 0,976c.


3.Částice α vyletěla z laboratorního urychlovače rychlostí v a pohybovala se rovnoměrně přímočaře. Trubicí o délce 12 cm proletěla za čas 1 ns. Jakou délku má trubice ve vztažné soustavě spojené s částicí α?

Řešení:

Rozbor:

s = 12 cm = 0,12 m,  t = 1 ns = 10-9s,  l = ?

fyzika-specialna-teoria-relativity-3.gif 

Délka trubice urychlovače se zmenšila na 11 cm.


4.Z urychlovače vyletuje svazek π mezonů rychlostí v = 0,8c. Poločas rozpadu π mezonů je t0 = 1,8.10-8s. Vypočítejte, za jakou dobu se rozpadne polovina mezonů a jakou dráhu uletí, než se rozpadnou.

Řešení:

Rozbor:

v = 0,8c,  t0 = 1,8.10-8 s,  t = ?,  s = ?

fyzika-specialna-teoria-relativity-4.gif 

Polovina mezonů se rozpadne za t = 3.10–8s. Při tom uletí dráhu s = 7,2 m.


5.Hustota železa je ρ0 = 7400 kg.m-3 v nehybné soustavě. Jak se změní hustota tělesa ze železa, pokud se jeho rychlost zvýší z nulové hodnoty na v = 0,5c?

Řešení:

Rozbor:

ρ0 = 7400 kg.m-3,  v = 0,5c,  ρ = ?

 fyzika-specialna-teoria-relativity-5.gif

Hustota tělesa se změní na ρ = 9866,7 kg.m-3.


6.Vypočítejte rychlost, při které je relativistická hybnost částice α dvakrát větší než hybnost vypočtená podle pravidel klasické mechaniky.

Řešení:

Rozbor:

2p0 = p

fyzika-specialna-teoria-relativity-6.gif

Rychlost částice α je v = 0,866c


7.Kosmická loď se pohybuje vzhledem k Zemi rychlostí 12 000 km.s-1. Jak dlouho trvá pro pozorovatele v kosmické lodi děj, který na Zemi probíhá 1 hodinu.

Řešení:

Rozbor:

v = 12 000 km.s-1 = 1,2.107 m.s-1,  t0 = 1 hod.,  t = ?

fyzika-specialna-teoria-relativity-7.gif 

Pro pozorovatele v kosmické lodi trvá děj asi 1 hodinu a 3 sekundy.


8.Jakou vlnovou délku má foton, jehož energie je stejná jako energie elektronu při rychlosti v = 0,6c?

Řešení:

Rozbor:

v = 0,6c,  c = 3.108 m.s-1,  h = 6,625.10-34 J.s,  me = 9,1.10-31 kg, λ = ?,

fyzika-specialna-teoria-relativity-8.gif 

Vlnová délka fotonu je f = 1,9.10-12 m. 


9.Hvězda se přibližuje k Zemi rychlostí v. Jakou rychlostí se světlo z této hvězdy šíří vesmírem pro pozorovatele na Zemi?

Řešení:

 specialna-teoria-relativity-9.gif

Světlo z této hvězdy se šíří vesmírem pro pozorovatele na Zemi rychlostí w = c = 3.108 m.s–1.


10.V „kosmickém vlaku“, který se řítí vesmírem rychlostí v1 = c/2, se pohybuje kosmonaut rychlostí v2 = c/4 podél „vlaku“. Jakou rychlost zjistí pozorovatel stojící mimo „vlak“, pokud se kosmonaut pohybuje

  • a.) týmž směrem jako „vlak“
  • b.) opačným směrem než „vlak“

Řešení:

 specialna-teoria-relativity-10.gif

Pozorovatel stojící mimo „vlak“ zjistí rychlosti 2c/3, nebo 2c/7.


11.Hyperon se pohybuje v bublinkové komoře rychlostí v1 = 0,8c a při jeho přeměně na proton, elektron a antineutrino vyšle ve směru svého pohybu proton, který se v klidové soustavě hyperonu pohybuje rychlostí v2 = 0,3c. Jakou rychlostí se bude pohybovat proton vzhledem k souřadnicové soustavě spojené s bublinkovou komorou, jestliže

  • a.) neplatí relativistický vztah pro skládání rychlostí
  • b.) platí relativistický vztah pro skládání rychlostí

Řešení:

specialna-teoria-relativity-11.gif 

Proton se bude pohybovat rychlostí 0,887c.

Rychlost 1,1c > c neexistuje.


12. Vyučovací hodina na Zemi trvá 45 minut. Kolik minut by trvala vyučovací hodina na kosmické lodi, která se vzdaluje od Země rychlostí v = 0,6c?

Řešení:

specialna-teoria-relativity-12.gif 

Vyučovací hodina na kosmické lodi by trvala 56 minut a 15 sekund.


13.Jakou rychlost musí mít raketa vzhledem k Zemi, aby jistý děj pozorovaný na Zemi pozoroval kosmonaut na raketě jako dvojnásobně dlouhý.

Řešení:

 specialna-teoria-relativity-13.gif

Raketa musí mít rychlost v = 0,866c.


14.Střední doba životnosti mezonu je Δt0 = 2,2.10–6s. Vypočítejte dráhu, kterou projde mezon od svého vzniku po rozpad na elektron a neutrino. Mezon se pohybuje rychlostí v = 0,96c.

Řešení:

 specialna-teoria-relativity-14.gif
Mezon během doby své životnosti uletí dráhu asi 2,3 km.


15.Vzdálenost hvězdy Proxima Centauri od Země je 4,28 ly (světelných let). Jakou vzdálenost zjistí pozorovatel v kosmické lodi, která letí ze Země ke hvězdě rychlostí v = 0,8c vzhledem k Zemi.

Řešení:

 specialna-teoria-relativity-15.gif

Pozorovatel na kosmické lodi zjistí vzdálenost hvězdy od Země l = 2,568 ly. Je to 24,3.1015 metru.


16.Těleso, které má v klidové soustavě tvar krychle, se pohybuje ve směru osy x rovnoměrně přímočaře rychlostí v = 0,95c kolmo na stěnu krychle. Klidová délka krychle je a0 = 1 m. Určete objem tělesa ve vztažné soustavě, vůči níž se těleso pohybuje.

Řešení:

specialna-teoria-relativity-16.gif 

Objem tělesa pohybujícího se rychlostí 0,95c je V = 0,312 m3.


17.Jaká byla klidová délka tyče, která se pohybuje vzhledem k pozorovateli, jenž je v klidu, rychlostí v = 2,7.108 m.s–1. Pozorovateli se jeví tato tyč jako 2,61 m dlouhá.

Řešení:

 specialna-teoria-relativity-17.gif

Klidová délka tyče byla l0 = 6 metrů.


18. Elementární částice se pohybuje rychlostí v = 0,8c. Jaký je poměr její hmotnosti k její klidové hmotnosti?

Řešení:

 specialna-teoria-relativity-18.gif

Poměr hmotností elementární částice je m : m0 = 5 : 3.


19.Elektron byl cyklotronem urychlen tak, že jeho relativistická hmotnost nabyla hodnoty 5krát větší, než je jeho klidová hmotnost. Jakou rychlostí se elektron pohybuje?

Řešení:

 specialna-teoria-relativity-19.gif

Rychlost elektronu je v = 0,979c.


20.Odvoďte relativistický vztah:

specialna-teoria-relativity-20z

Řešení:

specialna-teoria-relativity-20r.gif


21.Proton má klidovou energii E0 = 933 MeV a pohybuje se rychlostí v = 0,5c. Vypočítejte jeho relativistickou kinetickou energii.

Řešení:

specialna-teoria-relativity-21.gif 

Relativistická kinetická energie protonu je EK = 144,3 MeV.


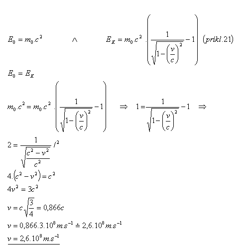
22.Při jaké rychlosti se kinetická energie částice rovná její klidové energii?

Řešení:

 specialna-teoria-relativity-22.gif

Kinetická energie částice se rovná její klidové energii při rychlosti v = 2,6.108 m.s–1.


23.Hmotnost urychleného elektronu se zvětšila 41krát. Jakou energii získal elektron při tomto zrychlení?

Řešení:

 specialna-teoria-relativity-23.gif

Elektron urychlením získal kinetickou energii EK = 3,3 pJ.


24.Jakou vlnovou délku má foton, jehož energie je stejná jako klidová energie elektronu?

Řešení:

 specialna-teoria-relativity-24.gif

Vlnová délka fotonu je λ = 2,43.10–12 m.


25. Elektron s klidovou hmotností m0 = 9,1.10–31 kg se pohybuje rychlostí v = 0,6c. Vypočítejte relativistickou hybnost tohoto elektronu.

Řešení:

 specialna-teoria-relativity-25.gif

Hybnost elektronu je p = 20,5.10–23 kg.m.s–1.