sk|en|de|

Matice

1. Jaké jsou základní vlastnosti matic.

Řešení:

Obdélníková schéma m, n reálných čísel uspořádaných do m řádků an sloupců se nazývá matice (typu m, n). Pokud m = n je to čtvercová matice n - tého stupně. Čísla a11, A32, ... AMN se nazývají prvky matice.

matice-1a.gif 

 Nulová matice:                    Jednotková matice:

matice-1b.gif matice-1b.gif 
Inverzní matice A-1:
matice-1c.gif

Součet matic A + B

matice-1d.gif 



2. Vysvětlete postup při násobení dvou matic.

Řešení:

Součin dvou matic má jen tehdy smysl, když levá matice má tolik sloupců, jak má pravá matice řádků. Takové matice se nazývají "komformabilné".
Součin matic není komutatívny!

Násobení matice číslem:
matice-2a.gif
Součin matic A.B

matice-2b.gif


3.Sečtěte matice A + B a M + N jestliže platí

matice-3z.gif

Řešení:

matice-3r.gif


4.Vynásobte matice A.B a C.D jestliže platí:

matice-4z.gif

Řešení:

matice-4r.gif


5.Ukažte, že součin matic není komutatívny.


matice-5z.gif

Řešení:

matice-5r.gif


6.Daná je matice A. Zjistěte matici A2 jestliže platí:

matice-6z.gif

Řešení:

matice-6r.gif


7.Daná je matice B. Zjistěte matici B2 jestliže platí :

matice-7z.gif

Řešení:

matice-7r.gif


8.Zjistěte součin matic A.B jestliže platí:

matice-8z.gif

Řešení:

matice-8r.gif 


9.Vysvětlete postup při výpočtu inverzní matice A-1 z matice A.

Řešení:

 matice-9r.gif

Při zkoušce musí být inverzní matice v součinu sleva.

Pro součin matic neplatí komutatívny zákon.


10.K matici A zjistěte inverzní matici A-1 a proveďte zkoušku jestliže platí:


matice-10z.gif

Řešení:

matice-10r.gif


11.K matici A zjistěte inverzní matici A-1 a proveďte zkoušku pokud platí:

matice-11z.gif

Řešení:

matice-11r.gif


12.Vypočítejte inverzní matici A-1 k matici A, jestliže platí

matice-12z.gif

Řešení:

matice-12r.gif


13.Vypočítejte inverzní matici A-1 k matici A a proveďte zkoušku (Viz příklad 12), jestliže platí:

matice-13z.gif

Řešení:

matice-13r.gif


14.Řešte maticovou rovnici A + X = B pokud platí:

matice-14z.gif

Řešení:

matice-14r.gif


15.Vypočítejte matici X z rovnice 2A + 3X = B pokud platí:


matice-15z.gif

Řešení:

matice-15r.gif


16.Řešte maticovou rovnici AX = B a proveďte zkoušku jestliže platí:

matice-16z.gif

Řešení:

matice-16r.gif


17.Řešte rovnici AX = B a proveďte zkoušku jestliže platí:

matice-17z.gif

Řešení:

matice-17r.gif


18.Vysvětlete postup při řešení soustavy lineárních rovnic pomocí inverzní matice.

matice-18z.gif

Řešení:

matice-18r.gif


19.Pomocí inverzní matice řešte soustavu rovnic:

matice-19z.gif

Řešení:

matice-19r.gif


20.Pomocí inverzní matice řešte soustavu rovnic:

matice-20z.gif

Řešení:

matice-20r.gif


21.Pomocí inverzní matice řešte soustavu rovnic:

matice-21z.gif

Řešení:

matice-21r.gif


22.Pomocou inverznej matice riešte sústavu rovníc:

matice-22z.gif

Řešení:

matice-22r.gif


23.Vysvětlete pojem "hodnost matice" a podmínky řešení soustavy lineárních rovnic Gaussovu metodou

Řešení:

Hodnost matice h je číslo, které udává maximální počet lineárně nezávislých řádků matice. Hodnost matice se nezmění pokud:

 

  • a.) zaměníme pořadí její řádků
  • b.) libovolný řádek vynásobíme číslem různým od nuly
  • c.) k libovolnému řádku přičteme jiný řádek
  • d.) k libovolnému řádku přičteme lineární kombinaci jiných řádků
  • e.) vynecháme řádek, který je lineární kombinací jiných řádků
  • f.) vynecháme nulový řádek
  • g.) vyměníme řádky za sloupce (vznikne "transponována matice")

 
Uvedené vlastnosti hodnosti matice platia aj pre stĺpce.


Frobeniova věta:

Soustava lineárních rovnic má pouze tehdy řešení, pokud hodnost matice soustavy h se rovná hodnosti její rozšířené matici h/.

h = h/

a.)  h = h/  a  h = n     jediné řešení

b.)  h = h/  a  h<n      nekonečně mnoho řešení (n je počet neznámých v soustavě)


24.Gaussovu metodou řešte soustavu rovnic:

matice-24z.gif

Řešení:

matice-24r.gif


25.Řešte soustavu rovnic Gaussovu metodou:

matice-25z.gif

Řešení:

matice-25r.gif


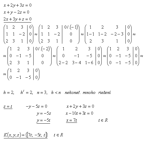
26.Řešte soustavu rovnic Gaussovu metodou:

x + 2y + 3z =0
2x – y + z = 3
3x + y – z = 5
Řešení:
matice-26.gif

27.Řešte soustavu rovnic Gaussovu metodou:

matice-27z.gif

Řešení:

matice-27r.gif


Videoprezentace jsou sdílené z portálu NAUČ SA MATIKU.