sk|en|de|

Elektrický proud v plynech a vakuu

1.Jak vzniká elektrický proud v plynech a ve vakuu?

Řešení:

Elektrický proud v plynech (výboj) je uspořádán pohyb volných iontů a elektronů. Jen ionizovaný plyn vede elektrický proud. Ionizační energie je nejmenší možná energie, která je potřebná k ionizaci plynu (na rozbití neutrálního atomu na ionty a elektrony)

Ionizační energie:

fyzika-elektricky-prud-v-plynoch-a-vakuu-1a.gif

m = hmotnost částice,

v = rychlost částice,

Q = náboj částice,

λ = střední volná dráha částice,

E = velikost intenzity elektrického pole,

U = napětí mezi elektrodami

Elektrický proud ve vakuu - katodové záření - je usměrněný tok elektronů emitujících kolmo z katody.

  • Fotoemisia elektronů = emise způsobena silným světlem
  • Termoemisia elektronů = emise způsobena vysokou teplotou
  • Výstupní práce = nejmenší energie potřebná k uvolnění elektronu z tělesa

fyzika-elektricky-prud-v-plynoch-a-vakuu-1b.gif


2.Mezi deskami kondenzátoru se vzduchovým dielektrikem, které jsou od sebe vzdáleny 0,5 cm je elektrické napětí 10kV. Jakou rychlost má elektron v okamžiku střetu s molekulou kyslík, který ionizovala? Jaká je střední volná dráha elektronu?

Řešení:

Rozbor:

l = 5.10–3m,  U = 104V,  Ei = 13,6eV = 13,6.1,602.10–19J = 21,787.10–19J, Q = e =1,602.10–19C, 

me = 9,1.10–31kg,

fyzika-elektricky-prud-v-plynoch-a-vakuu-2.gif 

  • Elektron v okamžiku srážky s molekulou kyslíku měl rychlost v = 2,2.106m.s–1
  •  Střední volná dráha elektronu je 6,8μm.


3.Při jakém napětí se rozsvítí neonová lampa při ionizační energii 21,6 eV a střední volné dráze elektronů 1mm. Vzdálenost mezi elektrodami lampy je 1cm.

Řešení:

Rozbor:

Ei(Ne) = 21,6eV = 34,6.10-19J,  λ = 10–3m,  l = 10–2m,  Q = e = 1,602.10-19C, U = ?

Ei  = Q.E.λ

fyzika-elektricky-prud-v-plynoch-a-vakuu-3.gif 

Neonová lampa se rozsvítí při napětí U = 216V.


4.Napětí mezi anodou a katodou, které jsou ve vzdálenosti 10cm je 300V. Určitě velikost rychlosti elektronů při dopadu na anodu, jejich zrychlení a čas pohybu od katody na anodu.

Řešení:

Rozbor:

l = s = 10–1m,  U = 300V,  Q = e = 1,602.10–19C,  me = 9,1.10–31kg

fyzika-elektricky-prud-v-plynoch-a-vakuu-4.gif 

  • Rychlost elektronů při dopadu na anodu je v = 10,3.106m.s-1.
  • Jejich zrychlení a = 530.1012m.s–2 .
  • Čas pohybu elektronů od katody na anodu je t =0,0194μs.

5.Určete kolikrát je rychlost elektronů při dopadu na anodu při napětí U1 = 360V větší než při napětí U2=40V.

Řešení:

Rozbor:

U1 = 360V,  U2 = 40V.

 fyzika-elektricky-prud-v-plynoch-a-vakuu-5.gif

Rychlost elektronů při dopadu na anodu při napětí U1 = 360V je třikrát větší než při napětí U2=40V.


6.Elektron vletěl mezi horizontální vychylovací destičky televizní obrazovky. Za předpokladu že mezi nimi je homogenní elektrické pole s intenzitou 105V.m-1 a že zanedbáme vliv tíhového pole, určete zrychlení elektronu v elektrickém poli!

Řešení:

Rozbor:

 fyzika-elektricky-prud-v-plynoch-a-vakuu-6.gif

Zrychlení elektronu v elektrickém poli je a = 176.1014m.s–2.


7.Pokud je velikost intenzity elektrického pole 3.106V.m–1, nastává ve vzduchu při normálním tlaku jiskrový výboj. Vypočítejte kinetickou energii elektronu, kterou dosáhne, pokud jeho střední volná dráha

je   5.10–6m.

Řešení:

Rozbor:

fyzika-elektricky-prud-v-plynoch-a-vakuu-7.gif

Kinetická energie elektronu je Ek = 2,4.10–18J.


8.Při napětí 800V vzniká v katodové trubici proud 5mA. Jaké teplo se uvolní na anodě za 1minutu, pokud předpokládáme, že celá kinetická energie se proměnila na teplo?

Řešení:

Rozbor:

fyzika-elektricky-prud-v-plynoch-a-vakuu-8.gif


9.Elektron, který v elektrickém poli přešel z bodu A do bodu B, zvětšil velikost své rychlosti z 800km.s-1 na 4000km.s-1. Určitě napětí mezi těmito body!

Řešení:

Rozbor:

fyzika-elektricky-prud-v-plynoch-a-vakuu-9.gif 

Napětí mezi bod A,B je U = 44V.


10.Mezi zemí a mrakem vznikl výboj ve formě blesku, při kterém byl přenesen náboj 20C. Rozdíl potenciálů mezi mrakem a zemí byl 106V. Blesk trval 10-3s. Určete energii výboje a proud.

Řešení:

Rozbor:

fyzika-elektricky-prud-v-plynoch-a-vakuu-10.gif


11.Páru vodíku ionizuje záření β (elektrony). Jakou nejmenší rychlost by měli mít ionizující elektrony, aby proběhla ionizace?

 Ei = 13,6eV,  me = 9,1.10–31kg,  v = ?

Řešení:

 elektricky-prud-v-plynoch-a-vakuu-11.gif

Ionizující rychlost elektronů je 2,18.106m.s–1.


12.Jaká je střední dráha elektronu, pokud intenzita elektrického pole ve kterém se nacházejí rtuťové páry je E = 104V.m-1. Ionizační energie rtuti je Ei = 10,4 eV.

Řešení:

 elektricky-prud-v-plynoch-a-vakuu-12.gif

Střední dráha elektronu je λ = 1 mm.


13.Dána je tabulka:

elektricky-prud-v-plynoch-a-vakuu-13z.gif

Určete kolikrát je rychlost elektronů při dopadu na elektrodu při proudu I1 = 610mA vvětší než při proudu I2 = 115mA? Hodnoty v tabul

Řešení:

elektricky-prud-v-plynoch-a-vakuu-13r.gif


14.Jakou rychlost získá elektron při dopadu na anodu vyčerpané trubice, pokud U = 3000V a počáteční rychlost v0 = 0

Řešení:

elektricky-prud-v-plynoch-a-vakuu-14.gif 

Elektron získá rychlost v = 3,25.107m.s–1.


15.Mezi deskami vzduchového kondenzátoru vytváří plamen za 1s průměrně 3.1011 párů elektronů a monohydroxyfenolů iontů. Určitě hodnotu nasyceného proudu, který prochází mezi deskami.

Řešení:

elektricky-prud-v-plynoch-a-vakuu-15.gif 

Nasycený proud je asi 9,6A.


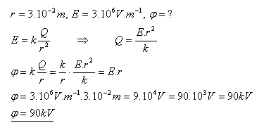
16.Ve vzduchu je umístěna kovová koule o poloměru r = 3cm. Na jaký potenciál je možné nabít kouli, pokud intenzita elektrického pole, při které ve vzduchu nastává samostatný výboj má velikost 3MV.m-1

Řešení:

elektricky-prud-v-plynoch-a-vakuu-16.gif 

Kouli třeba nabít na potenciál φ = 90kV.


17.Jaká je ionizační energie neonu, pokud intenzita elektrického pole je  E = 4,32.106V.m-1 a volná dráha elektronu je
λ = 5.10-6m ?

Řešení:

 elektricky-prud-v-plynoch-a-vakuu-17.gif

Ionizační energie neonu je 21,6eV.


18.Určete intenzitu elektrického pole E potřebnou k ionizaci nárazem elektronu ve vzduchu (Ei = 15eV) při normálním tlaku. Volná dráha elektronu je λ = 3.10-6m.

Řešení:

elektricky-prud-v-plynoch-a-vakuu-18.gif 

Intenzita elektrického pole je E = 5.106V.m-1.


19.Elektron vletěl rychlostí v = 6.107ms-1 mezi desky rovinného kondenzátoru, který je v horizontální poloze. Vzdálenost mezi deskami kondenzátoru je d = 1cm. Mezi deskami je napětí U = 600V. Zjistěte zrychlení elektronu.

Řešení:

 elektricky-prud-v-plynoch-a-vakuu-19.gif

Zrychlení elektronu je a = 105,6.1014m.s-2.


20.Vypočítejte odchylku elektronu (y) na konci kondenzátoru, který má délku l = 5cm. Další zadání a
hodnoty jsou v příkladu č. 19.

Řešení:

elektricky-prud-v-plynoch-a-vakuu-20.gif 

Odchylku elektronu na konci kondenzátoru je asi y = 3,7 mm.