sk|en|de|

Rovnice roviny

1. Jakým způsobem je v prostoru určena rovina?

Řešení:

Rovina v prostoru je určena třemi různými body A, B, C, které neleží na jedné přímce.

rovnica-roviny/rovnica-roviny-1 


2.Napište obecnou rovnici roviny, ve které leží bod A [-1; 5; 0]. Prochází rovina ρ počátkem souřadnic? Normálové vektor roviny je:

rovnica-roviny-2z

Řešení:

rovnica-roviny-2r 

Rovina x +2y +3z -9 = 0 neprochází počátkem souřadnic.


3. V rovině ρ leží tři body A [2; -4; 5], B [3; -1; 4], C [0; -10; 7]. Napište parametrické vyjádření této roviny.

Řešení:

rovnica-roviny-3


4.Rovina ρ je dána parametrickými rovnicemi. Přepište jejich do obecné rovnice roviny.

Řešení:

rovnica-roviny-4 

Rovnice roviny v obecném tvaru je ρ: x + 9y +z -14 = 0


5. Napište rovnici roviny σ, která prochází bodem A [3, 4, -5] a je rovnoběžná s vektory

rovnica-roviny-5z

Řešení:

rovnica-roviny-5r


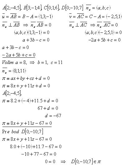
6.Napište rovnici roviny, která prochází body A [2;-4;5], B [3;-1;4], C [0;1;6]

Řešení:

rovnica-roviny-6 

Rovnica roviny je 8x + y + 11z – 67 = 0


7. Napište rovnici roviny, která je dána dvěma rovnoběžnými přímkami:

rovnica-roviny-7z

Řešení:

rovnica-roviny-7r 

Rovnice roviny je ρ: 2x + y -1 = 0


8.Napište obecnou rovnici roviny τ, která je rovnoběžná s osou x a prochází body A[-2;-1;-3],

B [2;3;0]

Řešení:

rovnica-roviny-8 

Rovnice roviny je τ: 3y – 4z -9 =0 


9. Napište rovnici roviny π, která prochází bodem M [-4; 0; 4] a vytíná na souřadnicových osách úseky
p = 4, q = 3.

Řešení:

rovnica-roviny-9 

Rovnice roviny π: 3x +4y +6z -12 =0


10. Máme rovinu ρ : 2x -2y +z -6 = 0. Vypočítejte úhly její normály se souřadnicovými osami x, y, z.

Řešení:

rovnica-roviny-10 

Úhly normály se souřadnicovými osami jsou: α = 48,180,β= 131,810,γ= 70,570


11.Zjistěte zda bod A [22; 2; -5] leží v rovině:

rovnica-roviny-11z.gif

Řešení:

rovnica-roviny-11r.gif 

Bod A leží v rovině ρ.


12.Určete souřadnici "x" bodu M [x; 1,2], aby bod M ležel v rovině:

rovnica-roviny-12z

Řešení:

rovnica-roviny-12r 

Hledaná souřadnice bodu M je x = 2. Bod M [2;1;2].


13.Napište obecnou rovnici roviny, která prochází bodem A a je kolmá na úsečku AB, jestliže platí:

rovnica-roviny-13z

Řešení:

rovnica-roviny-13r 

Rovnice roviny je π : 5x - 3y + 2z + 31 = 0


14.Napište obecnou rovnici roviny τ, která vytíná na souřadnicových osách úseky p = 2, q = 1, r = 5.

p = 2, q = 1, r = 5.

Řešení:

 rovnica-roviny-14r

Rovnice roviny je τ : 5x + 10y +2z – 10 = 0


15.Napište rovnici roviny π, která prochází bodem M a je kolmá na přímku p. Řešte pro zadání:

rovnica-roviny-15z

Řešení:

rovnica-roviny-15r

Rovnice roviny je π : 2x – y + 4z – 17=0


16.Ukažte, že body A, B, C, D leží v jedné rovině. Řešte pro:

rovnica-roviny-16z

Řešení:

rovnica-roviny-16r

 

Bod D[0;-10;7] leží v rovině π. Všechny body A, B, C, D leží v rovině π.


17.Dané jsou tři kulové plochy π, τ, ρ. Napište obecnou rovnici roviny χ, která prochází středy těchto kulových ploch. platí:

rovnica-roviny-17z

Řešení:

rovnica-roviny-17r

Rovnice roviny je: x – y – z +4 = 0


18.Napište obecnou rovnici roviny π, která prochází body:

rovnica-roviny-18z

Řešení:

rovnica-roviny-18r 

Rovnice roviny je π : x – y = 0


19.Přepište parametrický tvar roviny μ souhrnném, pokud platí:

rovnica-roviny-19z

Řešení:

 rovnica-roviny-19r

Rovnice roviny μ v obecném tvaru je μ: x – y –z – 4 = 0


20.Pro kterou hodnotu parametru "m" z množiny R leží bod M [0; 6; m] v rovině:

rovnica-roviny-20z

Řešení:

 rovnica-roviny-20r

Parametr „m“ je m = –11. Bod M [0;6;-11].