sk|en|de|

Elektrický proud v elektrolytech

1.Charakterizujte elektrický proud v elektrolytech!

Řešení:

Elektrolyty jsou látky, jejichž roztoky nebo taveniny vedou elektrický proud pomocí iontů. Elektrický proud v elektrolytech je uspořádaným pohybem kationtů (+) a aniontů (-). Kationty se pohybují na katodu (-), anionty na anodu (+). Elektrolytická disociace je proces, při kterém se neutrálně molekuly elektrlytu štěpí na ionty. Elektrolýza je proces, při kterém nastávají chemické změny elektrod a elektrolytu, pokud jím prochází elektrický proud.

fyzika-elektricky-prud-v-elektrolytoch-1r.gif 


2.Vypočítejte:

  • a.) množství hliníku, který se vyloučí při elektrolýze na elektrodě za 24 hodin proudem 10kA.
    A(Al3+) = 0,093.10-6kg.C-1
  • b.)  jakým proudem by se vyloučil z elektrolytu chrom s hmotností 3,24 g za 1 hodinu
    A(Cr3+) = 0,18.10-6kg.C-1

Řešení:

 fyzika-elektricky-prud-v-elektrolytoch-2r.gif

  • a.) Na elektrodě se vyloučí 80kg hliníku.
  • b.) Chrom se na elektrodě vyloučí proudem 5A.

3.Určete elektrochemický ekvivalent hliníku a mědi

Řešení:

fyzika-elektricky-prud-v-elektrolytoch-3r.gif 

Elektrochemické ekvivalenty jsou A(Al)= 0,0932.10-6kg.C-1 a A(Cu)=0,329.10-6kg.C-1


4.Elektrolytem CuSO4 prochází proud 1A. Kolik atomů mědi se vyloučí na katodě za 10 sekund?

A(Cu) = 0,329.10-6kg.C-1 NA = 6,022.1023mol-1, Mm = 63,548.10-6kg.mol-1

Řešení:

Rozbor:

I = 1A,  t = 10s,  A(Cu) = 0,329.10-6kg.C-1 NA = 6,022.1023mol-1, Mm = 63,548.10-6kg.mol-1

fyzika-elektricky-prud-v-elektrolytoch-4.gif 

Na katodě se vyloučí N = 3,12.1019 atomů mědi.


5. Koule, jejíž poloměr je r = 5cm, má být poniklovaná vrstvou tloušťky h = 0,15 mm. Jak dlouho třeba kouli ponechat v elektrolytu při proudu I = 1A?

Řešení:

Rozbor:

r = 5cm = 5.10-2m,  h = 0,15.10-3m, I = 1A,  A(Ni) = 0,304.10–6kg.C–1, ρ(Ni) = 8,8.103kg.m–3

fyzika-elektricky-prud-v-elektrolytoch-5.gif 

Poniklování koule trvá asi 38 hodin.


6.Poniklování kovové destičky, která má povrch 100cm2, trvalo při proudu 0,4 A čtyři hodiny. Vypočtěte tloušťku niklové vrstvy, která se na destičce vytvořila!

Řešení:

Rozbor:

S = 100cm2 = 10–2m2,  I = 0,4A,  t = 4hod = 14 400s, v = 2, F = 96,5.103C.mol-1

Mm(Ni) = 58,7.10–3kg.mol–1,  ρ(Ni) = 8,9.103kg.m–3

fyzika-elektricky-prud-v-elektrolytoch-6.gif 

Tloušťka niklové vrstvy je h = 19,68 mikrometrů.


7.Jakou energii potřebujeme, abychom při elektrolýze síranu měďnatého CuSO4 získali měď o hmotnosti 1g, pokud elektrolýza probíhá při napětí 4V?

Řešení:

Rozbor:

m = 1g = 10–3kg,  U = 4V,  A(Cu) = 0,329.10–6kg.C–1

fyzika-elektricky-prud-v-elektrolytoch-7.gif 

Při elektrolýze spotřebujeme 12,2 kJ energie.


8.Dvě elektrolytické vany s roztoky AgNO3 a CuSO4 jsou zapojeny sériově. Kolik mědi se vyloučí za dobu, za kterou se vyloučí 850 mg stříbra?

Řešení:

Rozbor:

A(Ag) = 1,118.10–6kg.C–1, A(Cu) = 0,329.10–6kg.C–1,  mAg = 850mg. mCu = ?

fyzika-elektricky-prud-v-elektrolytoch-8.gif 

Vyloučí se 250 mg mědi.


9.Jaký elektrický proud procházel elektrolytem, když měděná katoda vážila před měřením 35g a po měření, které trvalo 40 minut 39g.

Řešení:

Rozbor:

Δm = 4g = 4.10-3kg,  t = 40min = 2400s, A(Cu) = 0,329.10–6kg.C–1

fyzika-elektricky-prud-v-elektrolytoch-9.gif 

Elektrolytem procházel proud I = 5,065 A.


10.Rozkladné napětí při elektrolýze kyseliny sírové mělo hodnotu 2,2 V. Při napětí 3,5 V procházel elektrolytem proud 2,8 A. Elektrody byly od sebe vzdáleny 4cm a průřez elektrolytického vodiče byl 30cm2. Určitě měrný odpor (odpor) elektrolytu!

Řešení:

Rozbor:

Ur = 2,2V,  U = 3,5V,  I = 2,8A,  S = 30.10–4m2, l = 4cm = 4.10–2m, ρ = ?

fyzika-elektricky-prud-v-elektrolytoch-10.gif 

Měrný odpor (rezistivita) elektrolytu je ρ = 0,0348 m.Ώ.


11.Za jaký čas se vyloučí z roztoku CuSO4 měď s hmotností 1,778 g proudem 3A?

Řešení:

elektricky-prud-v-elektrolytoch-11 

Měď se z roztoku CuSO4 vyloučí za asi 30 minut.


12.Při elektrolýze modré skalice CuSO4 se na katodě za 2 hodiny vyloučí dvojmocných měď s hmotností
m = 9,504 g, Ampérmetr ukázal proud IA = 4,1 A. Zjistěte chybu ampérmetru ΔI.

Řešení:

 elektricky-prud-v-elektrolytoch-12a

Chyba ampérmetru je ΔI = –0,1A.


13.Dvě elektrolytické nádoby s roztoky AgNO3 a CuSO4 jsou sériově spojeny. Určitě hmotnost mědi, která se při elektrolýze vyloučí za čas, za který se v druhé nádobě vyloučilo stříbro s hmotností 180g.

Řešení:

 elektricky-prud-v-elektrolytoch-13

Při elektrolýze se vyloučí asi 53 gramů mědi.


14.Při elektrolýze ZnSO4 se za 1 hodinu vyloučí zinek s hmotností m = 2,45 g. Určitě elektrický odpor roztoku, pokud napětí ně elektrodách bylo U = 6V.

Řešení:

 elektricky-prud-v-elektrolytoch-14

Elektrický odpor roztoku je R = 3Ώ.


15.Předmět s povrchem S = 20 dm2 je třeba postříbřit vrstvou o tloušťce h = 0,2 mm. Jak dlouho bude trvat pokovování, pokud 1 dm2 plochy může být zatížen proudem I = 0,4 A?

Řešení:

elektricky-prud-v-elektrolytoch-15
Pokovování předmětu bude trvat asi 13 hodin.


16.Jakou energii potřebujeme, abychom při elektrolýze síranu měďnatého CuSO4 získali měď o hmotnosti
m = 1g, pokud elektrolýza proběhla při napětí U = 4V.

Řešení:

 elektricky-prud-v-elektrolytoch-16

Při elektrolýze síranu měďnatého potřebujeme energii E = 12,12 kJ.


17.Roztokem CuSO4 prochází proud I = 1A. Kolik atomů mědi se vyloučí na katodě za t = 1s? (z = 2)

Řešení:

 elektricky-prud-v-elektrolytoch-17

Na katodě se za 1 sekundu vyloučí 3,12.1018 atomů mědi.


18. Jaký je elektrický náboj jednoho Iona stříbra, které se vyloučí elektrolýzou dusičnanu stříbrného nábojem Q = 1C.

Řešení:

elektricky-prud-v-elektrolytoch-18 

Náboj jednoho iontu stříbra je e = 1,602.10–19


19. Kolik a.) Stříbra b.) Dvojmocné mědi se vyloučí z příslušných roztoků pokud jimi projde náboj Q = 96,5.106C?

Řešení:

 elektricky-prud-v-elektrolytoch-19

Z příslušných roztoků se nábojem Q vyloučí 107,88 kg stříbra a 31,75 kg mědi.


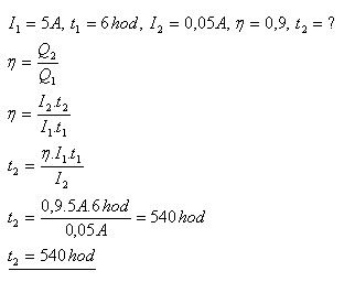
20.Akumulátor se nabíjel proudem I1 = 5A po dobu t1 = 6 hodin. Jak dlouho se vybíjel, jestliže se při vybíjení odebíral z akumulátoru stálý proud I2 = 0,05 A. Nábojová účinnost akumulátoru je η = 90%.

Řešení:

 elektricky-prud-v-elektrolytoch-20

Akumulátor se vybíjel 540 hodin.