sk|en|de|

Logaritmické exponenciální rovnice

1.V množině R řešte:

log3(2x - 7) = 2              2x > 7
Řešení:
log3(2x - 7) = 2
log3(2x - 7) = log332
2x – 7 = 32
2x – 7 = 9
2x = 16
2x = 24
x = 4

K = {4}

2. V množině R řešte:

log2( 9- 2x) = 3 – x       2x < 9
Řešení:
logexporov

3. V množině R řešte:

log3( 1 + log3(2x-7)) = 1           2x > 7
Řešení:
log3( 1 + log3(2x-7)) = 1
log3( 1+ log3(2x-7)) = log33
1 + log3(2x-7) = 3
log3(2x-7) = 2
log3(2x-7) = log39
2x-7 = 9
2x = 16
2x = 24
x = 4

K = {4}

4. V množině R řešte:

log3(3x- 8) = 2 – x      3x > 8
Řešení:
logexporov2

5. V množině R řešte:

logexporov3zad
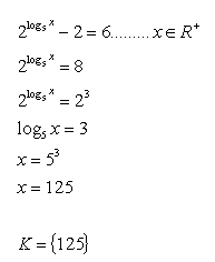
Řešení:
logexporov3

5. V množině R řešte:

logexporov3zad
Řešení:
logexporov3


6.V množině R řešte:

logaritmicke-exponencialne-rovnice-6z.gif

Řešení:

logaritmicke-exponencialne-rovnice-6r.gif


7. V množině R řešte:

logaritmicke-exponencialne-rovnice-7z.gif

Řešení:

logaritmicke-exponencialne-rovnice-7r.gif


8. V množině R řešte:

logaritmicke-exponencialne-rovnice-8z.gif

Řešení:

logaritmicke-exponencialne-rovnice-8r.gif


9. V množině R řešte:

logaritmicke-exponencialne-rovnice-9z.gif

Řešení:

logaritmicke-exponencialne-rovnice-9r.gif


10.V množině R řešte:

logaritmicke-exponencialne-rovnice-10z.gif

Řešení:

logaritmicke-exponencialne-rovnice-10r.gif


10.V množině R řešte:

logaritmicke-exponencialne-rovnice-10z.gif

Řešení:

logaritmicke-exponencialne-rovnice-10r.gif


11.V množině R řešte:

logaritmicke-exponencialne-rovnice-11-1
Řešení:
logaritmicke-exponencialne-rovnice-11-2

12.V množině R řešte:

logaritmicke-exponencialne-rovnice-12-1

Řešení:

logaritmicke-exponencialne-rovnice-12-2 


13.V množině R řešte:

logaritmicke-exponencialne-rovnice-13-1

Řešení:

logaritmicke-exponencialne-rovnice-13-2


14.V množině R řešte:

logaritmicke-exponencialne-rovnice-14-1

Řešení:

logaritmicke-exponencialne-rovnice-14-2


15.V množině R řešte:

logaritmicke-exponencialne-rovnice-15-1

Řešení:

logaritmicke-exponencialne-rovnice-15-2 


16.V množině R řešte:

logaritmicke-exponencialne-rovnice-16-1

Řešení:
logaritmicke-exponencialne-rovnice-16-2


17.V množině R řešte:

logaritmicke-exponencialne-rovnice-17-1

Řešení:

logaritmicke-exponencialne-rovnice-17-2


18.V množině R řešte:

logaritmicke-exponencialne-rovnice-18-1

Řešení:

logaritmicke-exponencialne-rovnice-18-2


19.V množině R řešte:

logaritmicke-exponencialne-rovnice-19-1

Řešení:

logaritmicke-exponencialne-rovnice-19-2


20.V množině R řešte:

logaritmicke-exponencialne-rovnice-20-1

Řešení:

logaritmicke-exponencialne-rovnice-20-2