Soustavy logaritmických rovnic
1. Řešte soustavu rovnic:
x + y = 34
log2x + log2y = 6 x,y >0 , x < 34
Řešení:
x + y = 34
log2x + log2y = 6 x,y >0 , x < 34
y = 34 -x
log2x + log2(34 – x) = 6
log2 ( x.(34 – x)) = log264
x.(34 –x) = 64
x2 – 34x + 64 = 0
(x- 32)( x-2) = 0
x1 = 32 v x2 = 2
y = 34 – x
y1 = 34 – 32 v y2 = 34 - 2
y1 = 2 v y2 = 32
K = {[32,2][2,32]}
2. Řešte soustavu rovnic:
Řešení:
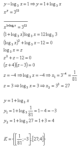
3. Řešte soustavu rovnic:
Řešení:
4. Řešte soustavu rovnic:

x>0, y>0, x>y
Řešení:
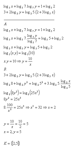
5. Řešte soustavu rovnic:
Řešení:
6. Řešte soustavu rovnic:

x>0, y>0
Řešení:
7. Řešte soustavu rovnic:

x>0, y>0
Řešení:
8. Řešte soustavu rovnic:

x > 0; y > 0
Řešení:
x = 4 + 2y
x = 4 + 2.0,5
x = 4 + 1
x = 5
K = {5;1/2}
9. Řešte soustavu rovnic:
Řešení:
10. Řešte soustavu rovnic:

x > 0 ; y> 0
Pri riešení použite: 3
log3y = y
Řešení:
11.Řešte soustavu rovnic:
Řešení:
12. Řešte soustavu rovnic:
Řešení:
13. Řešte soustavu rovnic:
Řešení:
14. Řešte soustavu rovnic:
Řešení:
15. Řešte soustavu rovnic:
Řešení:
16. Řešte soustavu rovnic:
Řešení:
17. Řešte soustavu rovnic:
Řešení:
18. Řešte soustavu rovnic:
Řešení:
19. Řešte soustavu rovnic:
Řešení:
20. Řešte soustavu rovnic:
Řešení: