sk|en|de|

Množiny

1. Vysvětlete pojem množina a množinové operace.

Řešení:

mnoziny-1r.gif


2.Vyjmenujte všechny prvky následujících množin:

mnoziny-2z.gif

Řešení:

mnoziny-2r.gif


3. Dané jsou množiny:

mnoziny-3z.gif

Řešení:

mnoziny-3r.gif


4. Dané jsou množiny:

mnoziny-4z.gif

Řešení:

mnoziny-4r.gif


5. Dané jsou množiny:

mnoziny-5z.gif

Řešení:

mnoziny-5r.gif


6. Dané množiny zapište jako intervaly:

mnoziny-6z.gif

Řešení:

mnoziny-6r.gif


7. Dané jsou intervaly:

mnoziny-7z.gif

Řešení:

mnoziny-7r.gif


8. Vysvětlete výpočet počtu prvků v konečných množinách.

Řešení:

mnoziny-8r.gif


9. Na recepci na velvyslanectví každý ovládá alespoň jeden cizí jazyk, 15 lidí mluví anglicky, 12 německy a 7 oběma jazyky. Z kolika lidí se skládá tato společnost, pokud ve společnosti nikdo jiný jazyk neovládá?

Řešení:

mnoziny-9r.gif

Společnost tvoří 20 lidí


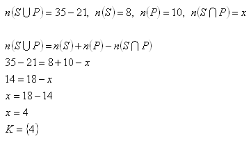
10.Z 35 žáků odebírá Blesk 8 žáků, MF Dnes 10 žáků, 21 žáků neodebírá žádné noviny. Kolik žáků odebírá obojí noviny.

Řešení:

 mnoziny-10r.gif

Obojí noviny odebírají 4 žáci.


11.Za jeden den opravili v autodílně na 46 autech 24 chyb na brzdách a 36 chyb na motoru. Kolik aut mělo chybu jen na brzdách a kolik jen na motoru?

Řešení:

 mnoziny-11r.gif

  • Chyby na brzdách a současně na motoru: 14
  • Chyby jenom na brzdách: 24-14 = 10
  • Chyby jenom na motoru: 36-14 = 22


12.Průzkum čtenářských zájmů ukázal, že 60% žáků čte časopis A, 50% časopis B, 50% časopis C, 30% časopisy A i B, 20% časopisy B i C, 30% časopisy A i C a 10% všechny tři časopisy. Kolik % žáků čte právě dva časopisy a kolik % nečte ani jeden z těchto časopisů?

Řešení:

mnoziny-12r.gif 

  • Právě dva časopisy: 20%+20%+10%=50% žáků
  • Žádný z těchto časopisů nečte 10% žáků


13.Pomocí Vennových diagramů znázorněte množiny:

mnoziny-13z.gif

Řešení:

mnoziny-13r.gif