sk|en|de|

Vlastnosti funkcí

1. Co si pamatujete o vlastnostech funkcí?

Řešení:


  • Funkce f reálné proměnné x je předpis, který každému x e R přiřazuje nejvýše jedno y e R tak, že
    y = f(x)
  • Definiční obor funkce D je množina všech xe R, ke kterým existuje právě jedno ye R tak, že y = f (x).
  • Obor hodnot funkce H je množina všech ye R, ke kterým existuje alespoň jedno xe R tak, že y = f (x).

vlastnosti-funkcii-1

 

Dvě funkce se rovnají : f(x) = g(x) pokud: D(f) = D(g)

                                                           f(x) = g(x)

Které z následujících grafů představují funkce?
vlastnosti-funkcii-1az

 

vlastnosti-funkcii-1ar

Funkce                                                  Funkce                                         Není funkce 


2.Zjistěte, zda následující výrazy jsou funkce:

vlastnosti-funkcii-2z

Řešení:

vlastnosti-funkcii-2r


3.Rozhodněte, zda následující funkce se rovnají:

vlastnosti-funkcii-3z

Řešení:

vlastnosti-funkcii-3r


4.Rozhodněte o párnosti – sudost a nepárnosti – lichost funkcí:

vlastnosti-funkcii-4z

Řešení:

vlastnosti-funkcii-4r


5. Zjistěte, které z následujících funkcí jsou ohraničené v daném definičním oboru.

vlastnosti-funkcii-5z

Řešení:

vlastnosti-funkcii-5r


6. K daným funkcím vytvořte inverzní funkce.

vlastnosti-funkcii-6z

Řešení:

vlastnosti-funkcii-6r


7. Určete inverzní funkci k funkcím:

vlastnosti-funkcii-7z

Řešení:

vlastnosti-funkcii-7r


8.Ve funkci f(x) : y = ax2 +bx +c , x e R, urč a,b,c e R tak aby platilo f(0) = -3, f(-1) = -6, f(2) = 15.

Řešení:

vlastnosti-funkcii-8


9. Určete b , d funkcie f: y = ( x +b ):( x +d) tak, aby platilo f(1) = -1,  f(-1) = -1/3

Řešení:

vlastnosti-funkcii-9


10. Určete množinu všech funkcí f(x), pro které platí:

vlastnosti-funkcii-10z

Řešení:

vlastnosti-funkcii-10r


11.Daná je funkce f: y= -2x +3

a.) Určete f(0),  f(-5)
b.) Pro které x platí f(x) = 1,  f(x) =-5
c.) Určete průsečík grafu funkce se souřadnicovými osami

Řešení:

vlastnosti-funkcii-11


12.Napište lineární funkci, jejíž graf prochází body:

vlastnosti-funkcii-12z

Řešení:

vlastnosti-funkcii-12r 

Rovnice funkcí jsou: f1: y = – x + 2 a f2: y = √3.


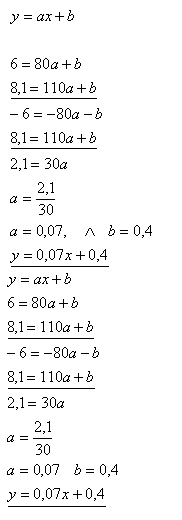
13.Podle výrobce automobilu je spotřeba benzínu auta na 100 km. následující. Při rychlosti 80 km.h-1 6 litrů benzínu, při rychlosti 110 km.h-1 8,1 litru. Určete spotřebu auta při rychlosti 90 km.h-1.

Řešení:

x = rychlost,  y = spotřeba

 vlastnosti-funkcii-13-1

Spotřeba pri rychlosti 90 km.h-1.

 vlastnosti-funkcii-13-2

Spotřeba automobilu při rychlosti 90 km.h-1 je 6,7 litru benzínu na 100 kilometrů.


14.Daná je funkce f: y = x2 - 4x -12.

a.) Učete pro které x platí f(x) = 9
b.) Učete průsečíky grafu funkce se souřadnicovými osami

Řešení:

vlastnosti-funkcii-14.gif


15.Napište kvadratickou funkci, jejíž prvky jsou uspořádány dvojice

A[0;1], B[2;-1], C[1;-1]

Řešení:

 vlastnosti-funkcii-15

Kvadratická funkce má rovnici: f : y = x2 - 3x +1


16.Daná je kvadratická funkce f: y = x2 – 3x + c. Určete c tak, aby funkce:

a). neměla společný bod s osou x

b.) měla právě jeden společný bod s osou x

c.) měla právě dva společné body s osou x

Řešení:

vlastnosti-funkcii-16.gif


17.Daná je kvadratická funkce f: y = x2 + 4x – 5. Určete její průsečíky se souřadnicovými osami a vrchol její parabolického grafu.

Řešení:

S osou x: y = 0                             S osou y : x = 0

vlastnosti-funkcii-17.gif


18.Určete koeficienty a, b tak, aby graf funkce f: y = a.log x + b procházel body K, L pokud platí:

vlastnosti-funkcii-18z.gif

Řešení:

vlastnosti-funkcii-18r.gif 

Rovnice logaritmické funkce má tvar: y = log x +2.


19.Určete koeficienty a, b tak, aby funkce f: y = a2x + b procházela počátkem souřadnicové soustavy a bodem M [1; 1].

Řešení:

 vlastnosti-funkcii-19.gif

Funkce má tvar f: y = 2x - 1.


20.Pro která reálná čísla x nabývají funkce f(x) = (5!)x a funkce g(x) = (4!)x+1 rovnaké hodnoty?

Řešení:

vlastnosti-funkcii-20.gif