sk|en|de|

Extrémy - slovní úlohy

1.Číslo 32 rozložte na dvou sčítanců tak, aby jejich součin byl největší.

Řešení:

První sčítanec : x                      x = 16

Druhý sčítanec : 32 – x     32 – 16=16

y = x.(32 – x)

y = 32x – x2

 

y‘ = 32 – 2x

32 – 2x = 0

       2x = 32

        x =16

y‘‘ = -2 < 0 - maximum

První sčítanec je 16, druhý také 16


2.

Číslo 16 rozložte na dvou sčítanců tak, aby součet druhých mocnin těchto sčítanců byl nejmenší.

Řešení:

První sčítanec : x                     x = 8

Druhý sčítanec : 16 – x    16 – 8 = 8

y = x2 + ( 16 – x )2

y = x2 + 256 -32x +x2

y = 2x2 – 32x + 256

y‘ = 4x – 32

4x - 32 = 0

4x = 32

x = 8

y‘‘ = 4 > 0 - minimum

První sčítanec je 8, druhý také 8


3.Najděte takové kladné číslo x, aby součet tohoto čísla a jeho převrácené hodnoty byl nejmenší.

Řešení:

extremy-slovne-ulohy-3 

Hledané číslo je x = 1.


4.Z drátu délky l = 120 cm máme udělat model kvádru se čtvercovou podstavou. Jaké má mít rozměry, aby povrch byl maximální?

Řešení:

Hrana čtvercové podstavy : a = b =x

Výška kvádru: c

8x + 4c = l

8x +4c =120/:4

2x + c = 30

       c = 30 – 2x

 

S = 2( ab + ac + bc )

S = 2( x.x + x(30 – 2x) + x(30 – 2x))

S = 2(-3x2 +60x )

S = -6x2 +120x

 

S‘ = -12x + 120                  S‘‘ = -12 < 0 maximum

-12x + 120 = 0

12x = 120

x = 10

c = 30 -2x = 30 – 2.10 = 10

x = 10 cm, c = 10 cm .

Kvádr musí mít tvar krychle s hranou x = 10 cm


5. Zahrada tvaru obdélníku má obvod 200 m. Určitě rozměry zahrady tak, aby její obsah byl maximální.

Řešení:

a = x

O = 2a + 2b

200 = 2x +2b/:2

100 = x + b

   b = 100 – x                  b = 100 – x = 100 – 50 = 50

                                      b = 50 m

 

S = a.b

S = x.(100 – x )

S = 100x – x2

 

S‘ =100 – 2x                  S‘‘ = -2 < 0 - maximum

100 – 2x = 0

2x = 100

x = 50

a = 50 m

Zahrada bude mít maximální obsah bude-li tvaru čtverce o straně a = b = 50 m..


6.Kdy má kvádr o objemu V = 63 cm3 a výškou v = 7 cm nejmenší povrch?

Řešení:

extremy-slovne-ulohy-6 

Rozměry hledaného kvádru jsou a = 3 cm, b = 3 cm, c = 7 cm


7.

Na břehu řeky třeba oplotit zahradu obdélníkového tvaru (jednu stranu obdélníku tvoří řeka) pletivem dlouhým l = 800 m. Jaké rozměry musí mít zahrada, aby jí výměra byla maximální?

Řešení:

800 = 2a +b

a = x

b = 800 – 2a = 800 – 2x

 

S = a.b

S = x.(800 – 2x)

S = 800x – 2x2

 

S‘ =800 – 4x               S‘‘ = -4 < 0 - maximum

800 – 4x = 0

         4x = 800

           x = 200

           x = 200 m

 

b = 800 – 2x

b = 800 – 400 = 400

b = 400 m

Rozměry zahrady jsou a = 200 m, b = 400 m.


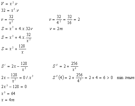
8.Jaké jsou rozměry otevřeného bazénu se čtvercovým dnem, pokud bazén má objem V = 32 m3 a pokud na jeho vyzdění má spotřebovat minimální množství materiálu.

Řešení:

V = 32 m3, x – hrana čtvercové podstavy, v - výška kvádru

extremy-slovne-ulohy-8 

Rozměry: a=4m, b=4m, v=2m


9. Drát s délkou 5 m ohněte do pravého úhlu tak, aby vzdálenost obou konců byla minimální. Kde je třeba drát ohnout?

Řešení:

Odvesny a = x, b = 5 – x

Přepona c = y

extremy-slovne-ulohy-9 

Drát třeba ohnout v prostředku.


10. Z plechu tvaru čtverce o straně 30 cm třeba v rozích vystřihnout čtyři stejné čtverečky, zbytek přehnout tak, aby vznikla otevřená krabice. Určitě stranu odstřižených čtverečků x tak, aby objem krabice byl maximální.

Řešení:

a = 30 – 2x,   b = 30 – 2x,   c = x

V = a.b.c

V = (30 – 2x)(30 – 2x).x

V = 4x3 – 120x2 +900x 

V‘ = 12x2 – 240x +900          V‘‘ = 24x -240

12x2 – 240x +900 =0 /:12      V‘‘(5) = 24.5-240 = -120 < 0 maximum

   x2 - 20x + 75 = 0

( x – 5 )( x -15 ) = 0      x1 = 5      x2 = 15 -nevyhovuje

x = 5 cm

Strana ustřiženého čtverečku je x = 5 cm.


11.Jáma s objemem 500 m3 má tvar kvádru se čtvercovou podstavou se stranou xa hloubkou h. Při jakých rozměrech x a h bude mít jáma minimální povrch?

Řešení:

Rozbor:

V = 500 m3,  x = ?, h = ?

extremy-slovne-ulohy-11

Jáma má podstavu čtverec o straně x = 10m a výšku h = 5m.


12.Daná je parabola y = 4 - x2. Najděte vrcholy obdélníku ABCD s největším obvodem, jehož vrcholy A, B leží na ose x, vrcholy C, D mají kladné y-ové souřadnice a leží na parabole.

Řešení:

extremy-slovne-ulohy-12a

Body jsou: A[-1;0], B[1;0], C[1;3], D[-1;3]


13.Určete rozměry (r, v) válcové nádoby bez víka, jejíž povrch je S = 27π tak, aby její objem byl největší.

Řešení:

Rozbor:

S = 27π,  r = x

extremy-slovne-ulohy-13 

Rozměry nádoby jsou r = x = 3j, v = 3j.


14.Nahoru otevřená nádoba tvaru válce má objem V = 3140 cm3. Určete rozměry válce (r, v) tak, aby na vytvoření této nádoby se minulo nejméně materiálu.

Řešení:

Rozbor:

V = 3140 cm3, r = x = ?

extremy-slovne-ulohy-14 

Rozměry nádoby jsou r = x = 10cm, v = 10cm.


15. Jaké rozměry musí mít obdélník s obvodem O = 40cm, aby jeho úhlopříčka byla minimální.

Řešení:

Rozbor:

x = a = ?,  b = ?

extremy-slovne-ulohy-15 

Útvar je čtverec o straně a = 10cm.