sk|en|de|

Diofantické rovnice

1.  Řešte rovnice:

 ax + by = 0  a  ax  + by = c

Řešení:

Řecký matematik DIOFANTOS (asi 250 r. před nl) se zabýval řešením rovnic typu ax + by = c, přičemž za řešení připouštěl jen celá čísla. Takové rovnice nazýváme „diofantické rovnice

 

diofanticke-rovnice-1.gif


2.V množině Z řešte rovnici:

6x – 4y = 0

Řešení:

diofanticke-rovnice-2.gif


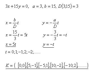
3.V množině Z řešte rovnici:

3x + 15y = 0

Řešení:



4.Zjistěte, které z následujících rovnic jsou řešitelné v množině Z:

diofanticke-rovnice-4z.gif

Řešení:

diofanticke-rovnice-4r.gif


5.V množině Z řešte rovnici:

10x + 4y = 16

Riešenie:

diofanticke-rovnice-5.gif


6.V množině Z řešte rovnici:

21x +15y = 3

Řešení:

diofanticke-rovnice-6.gif


7.Jaké rozměry (v celých číslech) může mít obdélník, ktoréhoobvod je 24 cm?

Řešení:

diofanticke-rovnice-7.gif


8.Jakým způsobem je možné zaplatit částku 21 Eur, pokud máme k dispozici pouze dvou - a pětieurovky?

Řešení:

diofanticke-rovnice-8.gif


9.Zjistěte kolika způsoby lze 22 litrů vína přelít do dvoulitrových a třílitrových nádob.

Řešení:

diofanticke-rovnice-9.gif


10.Stužku dlouhou 50cm chceme nastříhat na části 6cm a 4cm dlouhé. Kolika způsoby to můžeme udělat?

Řešení:

diofanticke-rovnice-10.gif


11.Určitě všechny rovnoramenné trojúhelníky, jejichž strany jsou celá čísla a obvod se rovná 40 cm.

Řešení:

diofanticke-rovnice-11.gif