sk|en|de|

Obvody střídavého proudu

1. Charakterizujte střídavý elektrický proud a obvody střídavého proudu.

Řešení:

Střídavý elektrický proud je časově proměnný, periodicky se měnící elektrický proud. Mění se velikost i směr proudu. Střídavý elektrický proud vzniká na základě zákona elektromagnetické indukce: Pokud se vodič (cívka) otáčí v homogenním magnetickém poli, ve vodiči se indukuje střídavé elektrické napětí a střídavý proud.

Obvody střídavého proudu:

obvody-striedaveho-prudu-1.gif


2.Střídavé napětí s frekvencí f = 50Hz má amplitudu Um = 200V. Napište rovnici střídavého napětí. Zjistěte okamžitou hodnotu napětí pro čas t = 4ms.

Řešení:

Rozbor:

Um = 200V,  f = 50Hz,  t = 4ms,  u = ?

u = Um.sin(ωt)
u = Um.sin(2.π.f.t)
u = 200V.sin(2.π.50.t)
u = 200.sin(100π.t) 

u = 200V.sin(100.1800.50.s-1.4.10-3s) = 200V.sin(720)
u = 200V.0,951 = 190,2V
u = 190,2V

Rovnice střídavého napětí je u = 200.sin(100π.t). 
Okamžitá hodnota napětí v čase t = 4ms je u = 190,2V.


3.Střídavý proud v elektrickém obvodu popisuje rovnice i = 5.sin(200π.t) [A]. Určete amplitudu proudu, frekvenci a periodu proudu. Také určete okamžitou hodnotu proudu v čase t = 1,25.10–3s.

Řešení:

i = 5.sin(200π.t) [A]
i = Im.sin(ω.t)

Im = 5 A, 
      
ω.t = 200π.t,    2π.f = 200π,   2f = 200s-1,  f = 100Hz
obvody-striedaveho-prudu-3.gif       
i = 5.sin(200π.t) [A]
i = 5.sin(200.1800s-1.1,25.10-3s[A]
i = 5.sin(450) = 5.0,707 A = 3,54A
i = 3,54A

Im = 5A,   f = 100Hz,  T = 0,01s,  i = 3,54A.


4.Určete induktanci cívky s indukčností 500mH v obvodu střídavého proudu s frekvencí 50Hz. Vypočítejte amplitudu proudu, pokud je amplituda napětí 314V.

Řešení:

Rozbor:

L = 500.10-3H,  f = 50s-1,  Um = 314V,  XL = ?,  Im = ?

obvody-striedaveho-prudu-4.gif 

Induktance cívky je XL= 157Ώ, amplituda proudu je Im= 2A.


5. Určete kapacitanciu kondenzátoru s kapacitou 20μF v obvodu střídavého proudu s frekvencí 50Hz. Vypočítejte také amplitudu napětí proudu, pokud je amplituda proudu 2A.

Řešení:

Rozbor:

C = 20μF = 20.10-6F,  f = 50s–1, Im = 2A,  XC = ?,  Um = ?

 obvody-striedaveho-prudu-5.gif

Kapacitancia kondenzátoru je XC = 160Ώ, amplituda napětí je Um= 320V.


6.Tlumivka s indukčností 2H a odporem vinutí 20Ώ je připojena nejprve ke zdroji stejnosměrného napětí 20V a poté ke zdroji střídavého napětí se stejnou hodnotou efektivního napětí a frekvencí 50Hz. Určete proud v obvodu v obou případech.

Řešení:

Rozbor:

L = 2H,  R = 20Ώ,  U = 20V,  f = 50s-1, I1 = ?,  I2 = ?

obvody-striedaveho-prudu-6.gif 

  • Při zapojení tlumivky na stejnosměrný zdroj jí prochází proud I1 = 1A,
  • při zapojení na zdroj střídavého napětí proud I2 = 32mA.

7.Do obvodu střídavého proudu s efektivním napětím 200V a frekvencí 50Hz je připojen obvod, který tvoří sériově spojený kondenzátor s kapacitou 16μF a rezistor s odporem 150Ώ. Určete impedanci obvodu, proud v obvodu a napětí na kondenzátoru a rezistoru.

Řešení:

Rozbor:

obvody-striedaveho-prudu-7.gif 

Impedance obvodu je Z = 250Ώ, proud v obvodu I = 0,8A, napětí na kondenzátoru je UC = 160V, na rezistoru UR = 120V


8.Oscilační obvod tvoří cívka s indukčností 0,1mH a kondenzátor s kapacitou 100pF. Určete frekvenci rezonance.

Řešení:

Rozbor:

L = 0,1mH = 10-4H,  f = 10–10F,  f = ?obvody-striedaveho-prudu-8.gif

Frekvence rezonance je f = 1,6MHz.


9.Cívka s L = 5.10–2H, jejíž vinutí má odpor R = 10Ώ, je sériově spojena s kondenzátorem C = 2.10–6F. Obvodem prochází střídavý proud s amplitudou Im = 0,1A a f = 500Hz.. Určete impedanci Z obvodu a amplitudu napětí Um.

Řešení:

Rozbor:

L = 5.10–2H,,  R = 10Ώ,  C = 2.10–6F,  Im = 0,1A   f = 500Hz,  Z = ?,  Um = ?

obvody-striedaveho-prudu-9.gif 

Impedance obvodu je Z = 10,2Ώ, amplituda napětí je Um = 1,02V.


10. Sériový obvod střídavého proudu se skládá z rezistoru s odporem R = 90Ώ, cívky s indukčností L = 1,3H a kondenzátoru s kapacitou C = 10–5F. Obvod je připojen na zdroj střídavého napětí s amplitudou Um = 100V a frekvencí f = 50Hz. Napište rovnice pro okamžité hodnoty napětí a proudu v obvodu.

Řešení:

Rozbor:

R = 90Ώ,  L = 1,3H,  C = 10–5,  Um = 100V,  f = 50Hz

obvody-striedaveho-prudu-10.gif


11.Střídavý proud má amplitudu 100mA a frekvenci 2.MHz. Za jaký čas od počátečního okamžiku (i = 0) bude okamžitá hodnota proudu 25mA?

Řešení:

obvody-striedaveho-prudu-11.gif 
Okamžitá hodnota proudu 25mA bude za čas t = 2.10–8sekundy.


12.Cívka s zanedbatelně malým odporem je zapojena do obvodu střídavého proudu s frekvencí 50Hz. Při napětí 24V prochází cívkou proud 0,5A. Určete indukčnost cívky.

Řešení:

 

Indukčnost cívky je L = 0,153H.


13.Kondenzátor je zapojen do obvodu střídavého proudu s napětím Umax = 220V a frekvencí f = 50 Hz. Obvodem prochází proud  Imax = 2,5A. Určete kapacitu kondenzátoru.

Řešení:

 obvody-striedaveho-prudu-13.gif

Kapacita kondenzátoru je C = 36 μF.


14.Kondenzátor s kapacitou C = 2μF je připojen do obvodu střídavého proudu s frekvencí f = 500 Hz. Na kondenzátor připojíme další kondenzátor se stejnou kapacitou paralelně. Jak musíme změnit frekvenci proudu, aby se kapacitancia obvodu nezměnila.

Řešení:

obvody-striedaveho-prudu-14.gif 

Frekvenci proudu je třeba zmenšit na polovinu.


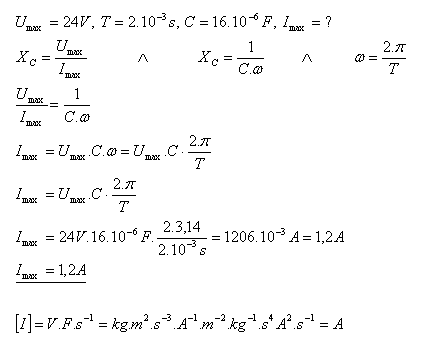
15.Na zdroj střídavého napětí Um = 24V a periodou T = 2.10–3s je připojen kondenzátor s kapacitou C = 16.10–6F. Určete Imax v obvodu.

Řešení:

obvody-striedaveho-prudu-15.gif 

V obvodu je Imax = 1,2A.


16.Kondenzátor je sériově zapojen se žárovkou. Obvod je připojen na napětí 220V s frekvencí 50Hz. Jakou kapacitu musí mít kondenzátor, aby jmenovité hodnoty napětí a proudu žárovky byly 55V a 0,5A.

Řešení:

obvody-striedaveho-prudu-16.gif


17.Tlumivka s indukčností 2H a odporem vinutí 20Ώ je připojena nejprve na zdroj stejnosměrného napětí 20V a poté na zdroj střídavého napětí se stejnou hodnotou a frekvencí 50Hz. Určete proud v obou případech.

Řešení:

 obvody-striedaveho-prudu-17.gif

Při stejnosměrném napětí je proud 1A, při střídavém 32mA.


18.K tlumivce s indukčností 60mH a s odporem 10Ώ chceme sériově připojit rezistor „x“ s takovým odporem, aby vznikl obvod s impedancí 26Ώ. Frekvence střídavého proudu je 50Hz.
Určete odpor rezistoru „x“.

Řešení:

obvody-striedaveho-prudu-18.gif 

Odpor hledaného rezistoru je x = 8Ώ.


19.V obvodu s RLC sériově platí, že při frekvenci 50Hz je XL = 2.XC. Jak se musí změnit frekvence, aby nastala rezonance?

Řešení:

obvody-striedaveho-prudu-19.gif 
Aby nastala rezonance, je třeba frekvenci snížit na asi 35,36 Hz.


20.V obvodu střídavého proudu s napětím 230V a frekvencí 50Hz jsou sériově zapojeny rezistor ( R = 200Ώ ), cívka (L = 1H ) a kondenzátor ( C = 5.10-6F).

  • Jaký proud prochází obvodem?
  • Jaký je fázový rozdíl mezi napětím a proudem?

Řešení:

obvody-striedaveho-prudu-20.gif 

  • Obvodem prochází proud I = 0,6A.  
  • Fázový rozdíl mezi napětím a proudem je φ = –58,230

21.Ukažte výpočtem (použijte vzorec sin(α – β) = sinα.cosβ – cosα.sinβ), že pro trojfázový elektrický proud platí u1 + u2 + u3 = 0.

Řešení: