sk|en|de|

Derivace nerozvinuté funkce

1. Jak derivujeme nerozvinutých funkci?

Řešení:

Nechť je dána nerozvinutá - implicitní-funkce F [x; f (x)] = 0. Při jejím derivování derivujeme členy obsahující pouze x obyčejně, členy s y derivujeme jako složené funkce. Jejich derivaci (podle y) vynásobíme y '. Z rovnice vyjádříme y '.

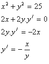
Například:


derivacia-nerozvinutej-funkcie-1 


2.Derivujte funkci:

derivacia-nerozvinutej-funkcie-2z1

Řešení:

derivacia-nerozvinutej-funkcie-2r1 


3. Derivujte funkci:

derivacia-nerozvinutej-funkcie-2z2

Řešení:

derivacia-nerozvinutej-funkcie-2r2


4.Derivujte funkci:

derivacia-nerozvinutej-funkcie-2z3

Řešení:

derivacia-nerozvinutej-funkcie-2r3


5.Pod jakým úhlem se protínají křivky x2 + y2 – 5 = 0 a y2 – 4x = 0

Řešení:

Úhel protínajících se křivek je roven úhlu jejich tečen ve společném bodě T. Společný bod T:

derivacia-nerozvinutej-funkcie-3


6.Zderivujte funkci x3 + y3 -3axy = 0

Řešení:

derivacia-nerozvinutej-funkcie-6.gif


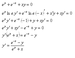
7.Zderivujte funkci ey + e–x + xy = 0

Řešení:

derivacia-nerozvinutej-funkcie-7.gif


8.Vypočtěte první derivaci funkce exy-x2+y3=0 pre x=0

Řešení:

derivacia-nerozvinutej-funkcie-8.gif


9.Napište rovnici tečny ke kružnici x2 + y2 + 4x – 4y +3 = 0 v bodě, ve kterém kružnice protíná x - ovou souřadnicovou osu.

Řešení:

derivacia-nerozvinutej-funkcie-9.gif


10.Napište rovnici tečny ke křivce:

derivacia-nerozvinutej-funkcie-10z.gif

Řešení:

derivacia-nerozvinutej-funkcie-10r.gif

Rovnici tečny je x – y + 4√2 = 0