sk|en|de|

Průběh funkce

1. Jak zjišťujeme průběh funkce?

Řešení:

a.)    Funkce y = f(x) je v bodě x0 rostoucí pokud f‘(x0) > 0

b.)    Funkce y = f(x) je v bodě x0 klesající pokud f‘(x0) < 0

c.)    Funkce y = f(x) má v bodě x0 stacionární bod pokud f‘(x0) = 0

d.)    Funkce y = f(x) je v bodě x0 vypouklá pokud f‘‘(x0) > 0

e.)    Funkce y = f(x) je v bodě x0 vydutá pokud f‘‘(x0) < 0

f.)     Funkce y = f(x) má v bodě xinflexní bod pokud f‘‘(x0) = 0 ^ f‘‘(x0) <> 0

g.)    Funkce y = f(x) má v bodě x0 lokální minimum pokud f‘ (xo) =0 ^ f‘‘ (xo) >0

h.)    Funkce y = f(x) má v bodě x0 lokální maximum pokud f‘ (xo) =0 ^ f‘‘ (xo) <0


2. Daná je funkce y = x3 – 5x2 + 3x -5. Určete pro které x je funkce rostoucí, klesající, vypouklá a vydutá.

Řešení:

priebeh-funkcie-2 

priebeh-fcie2a-g


3.Zjistěte zda funkce y = x3 -5x2 +3x -5 je v bodě x0 = 2 klesající a vypuklá.

Řešení:

y = x3 -5x2 +3x -5

y‘ = 3x2 -10x +3

y‘(2) =3.22 -10.2 +3

y‘(2) = -5 < 0

Funkcia je klesajíc .

 

y‘ = 3x2 -10x +3

y‘‘ = 6x-10

y‘‘(2) = 6.2 – 10

y‘‘(2) = 2 > 0

Funkcia je vypuklá.

 

graf 


4.Zjistěte zda je funkce v okolí bodu x0 = 0 rostoucí a vydutá.

priebeh-funkcie-4z

Řešení:

priebeh-funkcie-4r


5.Daná je funkce y = 2x2 – ln x. Určete pro které x funkcia klesá.

Řešení:

priebeh-funkcie-5n.gif

priebeh-funkcie-5g


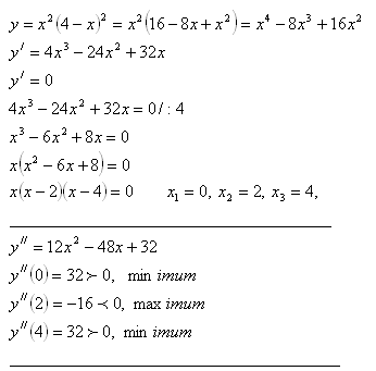
6. Určete lokální extrémy funkce y = x2(4 – x )2

Řešení:

Lokální extrémy:

priebeh-funkcie-6

Funkce má v bodě x1 = 0 a x3 = 4 lokální minimum a v bode x2 = 2 maximum.

priebeh-funkcie-6-g


7. Určete lokální extrémy funkce y = sin x.(1+cos x) pro

priebeh-funkcie-7z

Řešení:

priebeh-funkcie-7r 

priebeh-funkcie-7g

 

8.Zjistěte stacionární body a intervaly vzrůstu a poklesu funkce:

priebeh-funkcie-8z

Řešení:

priebeh-funkcie-8r

priebeh-funkcie-8g


9.Pro které hodnoty a, b je bod I [1; 3] inflexním bodem funkce y = ax3 +bx2 ?

Řešení:

priebeh-funkcie-9

priebeh-funkcie-9g


10. Najděte lokální extrémy funkce:

priebeh-funkcie-10z

Řešení:

priebeh-funkcie-10r 

priebeh-funkcie-10g