sk|en|de|

Vektor v prostoru

1. Jaké jsou vlastnosti vektoru v prostoru?

Řešení:

vektor-v-priestore-1


2.Zjistěte délku úsečky AB, která má střed S v počátku souřadnicových os a bod A [6; -2; 3]

Řešení:

vektor-v-priestore-2


3.Určete souřadnice vrcholu C [c1; c2; c3] v trojúhelníku Δ ABC, jestliže vrcholy a těžiště mají polohu:

A [3, 3, 3], B [-2; 1; 2], T [0; -1; 0 ]. Zjistěte také obvod tohoto trojúhelníku.

Řešení:

vektor-v-priestore-3


4.Na ose z najděte bod, který je stejně vzdálen od bodů A [-2; 1; 4] a B [3; 0; 1]

Řešení:

vektor-v-priestore-4


5. V rovnoběžnostěnu ABCDEFGH jsou známé souřadnice bodů A [2; -3; 1], B [3; -4; 2], D [4, 2, -3],
E [5; 3; 4]. Vypočtěte souřadnice zbývajících bodů C, F, H, G

Řešení:

vektor-v-priestore-5


6.Dokažte, že trojúhelník Δ ABC je rovnoramenný a pravoúhlý jestliže: A [2; -4; 9], B [-1; -4; 5], C [6; -4; 6]

Řešení:

vektor-v-priestore-6


7.Dané jsou vektory:

 vektor-v-priestore-7z

Zjistěte, zda jsou lineárně závislé.

Řešení:

vektor-v-priestore-7r


8.Zjistěte, zda dané čtyři body leží v jedné rovině. A[1;2;-1], B[0;1;5], C[-1;2;1], D[2;1;3]

Řešení:

vektor-v-priestore-8


9.Vypočítejte obsah trojúhelníku Δ ABC, jehož vrcholy leží v bodech:

vektor-v-priestore-9z

Řešení:

vektor-v-priestore-9r


10.Vypočtěte objem čtyřbokého jehlanu ABCDV, pokud znáte jeho vrcholy: A[2;0;0], B[0;3;0], D[0;0;6], V[2;3;8]

Řešení:

vektor-v-priestore-10


11. Určitě délku těžnice v trojúhelníku ABC, jestliže platí:  A[1;0;2], B[-2;1;-3], C[0;-1;1].

Řešení:

vektor-v-priestore-11.gif


12. Určete vzdálenost středů úseček AB, CD jestliže platí:

vektor-v-priestore-12z.gif

Řešení:

vektor-v-priestore-12r.gif


13.Nechť A [1, 2, 8] a B [4; y; 4], pak | AB | = 5. Jaké bude y?

Řešení:

vektor-v-priestore-13.gif

Hľadaný bod je B[4;2;4].


14. Dané jsou body K, L, M, N. Vypočtěte souřadnice bodu N jestliže platí:

vektor-v-priestore-14z.gif

Řešení: 

vektor-v-priestore-14r.gif 

Hledaný bod je N [-4;3;-1].


15.Dané jsou body A [4; -3; 2], B [5; 0; -1]. Určitě čísla m, n tak, aby bod C [2; m; n] ležel na vektoru AB.

Řešení:

vektor-v-priestore-15.gif

Hledaný bod je C[2;-9;8].


16.Určete vzájemnou polohu vektorů:

vektor-v-priestore-16z.gif

Řešení:

vektor-v-priestore-16r.gif

Vektory jsou na sebe kolmé.


17. Dané jsou tři body v prostoru A, B, C. Vypočítejte velikost úhlu

vektor-v-priestore-17z.gif

Řešení:

vektor-v-priestore-17r.gif

Úhel mezi vektory je α = 600.


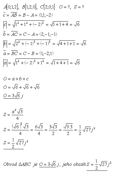
18.Vypočítejte obvod a obsah trojúhelníku ABC, jestliže pro jeho vrcholy platí:

A[0;1;2], B[1;2;0], C[2;0;1]

Řešení:

vektor-v-priestore-18.gif


19.V trojúhelníku ABC jsou dány vrcholy A, B a těžiště T. Určitě souřadnice vrcholu C pokud platí:

A[3;3;3], B[-2;1;2], T[0;-1;0], C[x,y,z]

Řešení:

vektor-v-priestore-19.gif

Třetí vrchol ΔABC je C[-1;-6;-5].


20.Vektor u zapište jako lineární kombinaci vektorů vaw jestliže platí:

vektor-v-priestore-20z.gif

Řešení:

vektor-v-priestore-20r.gif