sk|en|de|

Magnetická indukce

1.Vysvětlete pojem "stacionární magnetické pole" a jeho charakteristiky.

Řešení:

fyzika-magneticka-indukcia-1.gif


2.Vodičem, který je umístěn v homogenním stacionárním magnetickém poli kolmo ke směru indukčních čar a má aktivní délku 5cm, prochází proud 25A. Magnetické pole působí na vodič silou 50mN. Určete velikost magnetické indukce.

Řešení:

Rozbor:

fyzika-magneticka-indukcia-2.gif

Magnetická indukce pole je B = 40mT


3.Na přímý vodič délky 10cm, kterým prochází proud 2A působí v homogenním magnetickém poli s magnetickou indukcí 0,2 T síla 20mn. Určete úhel, který svírá vodič se směrem magnetických indukčních čar.

Řešení:

Rozbor:

fyzika-magneticka-indukcia-3.gif 

Úhel, který svírá vodič se směrem magnetických indukčních čar je 300.


4.Vodič, kterým prochází proud 1A a který má obsah příčného řezu 1mm2 se pohybuje v homogenním magnetickém poli se stálým zrychlením 2m.s-2 kolmo na směr indukčních čar. Hustota látky z níž je vodič zhotoven je 2500kg.m-3. Určete velikost magnetické indukce.

Řešení:

Rozbor:

fyzika-magneticka-indukcia-4.gif 

Magnetická indukce má velikost B = 5 mT.


5.Na přímý vodič, který svírá s indukčními čárami homogenního magnetického pole úhel α1 = 900 a působí o 0,134 N větší síla, než když svíral úhel α2 = 600. Určete magnetickou indukci pole, pokud účinná délka vodiče je l = 12,5 cm a prochází jím proud 10A.

Řešení:

Rozbor:

fyzika-magneticka-indukcia-5.gif 

Magnetická indukce pole je B = 0,8 T.


6.Jaký elektrický proud prochází velmi dlouhým přímým vodičem, pokud velikost magnetické indukce ve vzdálenosti 20cm od vodiče je 20μT.

Řešení:

Rozbor:

fyzika-magneticka-indukcia-6.gif 

Velmi dlouhým přímým vodičem prochází proud I = 20A.


7.Jakou magnetickou indukci má magnetické pole solenoidu s délkou 20cm se 400 závity, pokud proud procházející solenoidem je 5A? Jaký průměr má drát, ze kterého je solenoid navinutý, pokud jednovrstvé vinutí má závity těsně vedle sebe?

Řešení:

Rozbor:

 fyzika-magneticka-indukcia-7.gif

  •  Magnetické pole solenoidu má magnetickou indukci B = 4π.10-3T.
  • Průměr drátu je d = 0,1mm.

8.Přímý vodič s proudem I svíral s indukčními čarami homogenního magnetického pole úhel α. Po změně polohy zvíře vodič s indukčními čarami úhel α +180. Velikost síly působící na vodič se při tom zvětšila o 20%. Určete úhel α.

Řešení:

Rozbor:

fyzika-magneticka-indukcia-8.gif 

Úhel α = 510.


9.Vodič o délce l = 80cm a hmotnosti m = 0,16 kg je zavěšen na dvou tenkých závěsných vodičích a je umístěn v homogenním magnetickém poli, jehož indukční čáry mají směr svisle nahoru. Určete úhel α, o který se závěsné vodiče odchýlí od svislého směru, jestliže vodičem prochází proud I = 2A a B = 1T.

Řešení:
magneticka-indukcia-9.gif

Vodiče od svislého směru se odchýlí o úhel α = 450.


10. Válcová cívka bez jádra má tvar dlouhého solenoidu navinutého hustě izolovaným vodičem tak, že se sousední závity dotýkají. Cívkou prochází proud I = 0,5 A av jejím nitru má magnetická indukce velikost
B = 3,15 mT. Určete průměr vodiče d, ze kterého je provedeno vinutí cívky.

Řešení:
magneticka-indukcia-10.gif

Průměr vodiče je asi d = 0,2mm. 


11. Jak velká síla působí na vodič délky 0,2 m, který se nachází v homogenním magnetickém poli, který svírá úhel α = 300 se směrem magnetické indukce magnetického pole. Magnetická indukce je B = 0,1 T, vodičem prochází proud I = 10A.

Řešení:
magneticka-indukcia-11.gif 

Na vodič působí síla Fm = 0,1N. 


12. V homogenním magnetickém poli s magnetickou indukcí B = 2T působí na vodič s délkou l = 20cm, kolmý na indukční čáry, síla velikosti F = 1,2 N. Určete velikost proudu ve vodiči.

Řešení:
magneticka-indukcia-12.gif

Vodičem prochází proud I = 3A.


13. Na vodič vinutí rotoru elektromotoru, kterým prochází proud 20A působí síla Fm = 1,8 N. Určete velikost indukce magnetického pole v místě, kterým vodič prochází. Délka vodiče je 15cm.

Řešení:
magneticka-indukcia-13.gif 

Indukce magnetického pole je B = 0,6 T.


14. Na přímý vodič s délkou l = 50cm, kterým prochází proud I = 2A působí v magnetickém poli s magnetickou indukcí B = 0,1 T síla Fm = 0,1 N. Určete úhel α, který svírá vodič se směrem magnetických indukčních čar.

Řešení:
magneticka-indukcia-14.gif 

Vodič je kolmý na směr magnetických indukčních čar.


15.Vypočtěte velikost magnetické indukce magnetického pole ve vakuu ve vzdálenosti 2cm od velmi dlouhého vodiče, kterým prochází proud 5A.

Řešení:
magneticka-indukcia-15.gif 
Velikost magnetické indukce magnetického pole je B = 5.10–5T. 

16. Přímý vodič s délkou 0,4 m, kterým prochází proud 21A, leží v homogenním magnetickém poli s magnetickou indukcí 1,2 T v poloze kolmé na indukční čáry. Vypočítejte práci, kterou je třeba provést při přemístění vodiče po dráze 25cm ve směru kolmém na indukční čáry.

Řešení:
 magneticka-indukcia-16.gif
Při přemístění vodiče třeba vykonat práci W = 2,52 J.

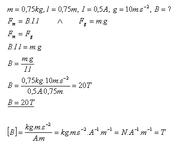
17.V homogenním magnetickém poli je vložen přímý vodič kolmo k indukčním čarám, rovnoběžně se zemí. Hmotnost vodiče je 0,75 kg, délka 75cm a prochází jím proud 0,5 A. Jak velká musí být indukce magnetického pole, aby vodič nepadl, ale se vznášel?

Řešení:

magneticka-indukcia-17.gif

Indukce magnetického pole musí být B = 20 T.


18.Máme navinout dlouhou válcovou cívku tak, aby ve středu její dutiny bylo magnetické pole s magnetickou indukcí, jejíž velikost by nebyla menší než B = 8,2.10-3T, když cívkou prochází proud I = 4,3 A. Jaká má být hustota závitů cívky?

Řešení:
magneticka-indukcia-18.gif 

Hustota závitů cívky má být 1,5.103m–1.


19.Kruhový závit obklopen vzduchem má poloměr 1cm. Závitem prochází proud 2A. Vypočtěte velikost magnetické indukce ve středu závitu.

Řešení:
magneticka-indukcia-19.gif 

Velikost magnetické indukce ve středu závitu je B = 0,13 mT.


20. Historický model znázorňující atom vodíku se skládal z nehybného jádra a elektronu, který kolem jádra obíhal po kružnici o poloměru r = 0,53.10-10m a periodou T = 1,5.10-16s. Vypočtěte velikost magnetické indukce magnetického pole vzbuzeného pohybem elektronu po kružnici.

Řešení:
magneticka-indukcia-20.gif 

Magnetická indukce vzbuzena pohybem elektronu v atomu vodíku je asi B = 13T.


21. Jaká je velikost intenzity magnetického pole H, z kterého vodič délky l = 50cm, kterým prochází proud 10A a který je postaven kolmo na indukční čáry, byl vytlačen silou 1N.

Řešení:
magneticka-indukcia-21.gif 

Velikost intenzity magnetického pole je H = 1,6.105A.m–1