sk|en|de|

Rovnice vyššího stupně

1. V množině C řešte:

rovnice-vyssieho-stupna-1z.gif

Řešení:

rovnice-vyssieho-stupna-1r.gif


2. V množině Z řešte:

rovnice-vyssieho-stupna-2z.gif

Řešení:

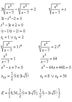
rovnice-vyssieho-stupna-2r.gif


3.V množině C řešte:

rovnice-vyssieho-stupna-3z.gif

Řešení:

rovnice-vyssieho-stupna-3r.gif


4.V množině Z řešte:

rovnice-vyssieho-stupna-4z.gif

Řešení:

rovnice-vyssieho-stupna-4r.gif


5.V množině C řešte:

rovnice-vyssieho-stupna-5z.gif

Řešení:

rovnice-vyssieho-stupna-5r.gif


6.V množině C řešte:

rovnice-vyssieho-stupna-6z.gif

Řešení:

rovnice-vyssieho-stupna-6r.gif


7. V množině C řešte reciprokou rovnici:

rovnice-vyssieho-stupna-7z.gif

Řešení:

rovnice-vyssieho-stupna-7r.gif


8. V množině C řešte:

rovnice-vyssieho-stupna-8z.gif

Řešení:

rovnice-vyssieho-stupna-8r.gif


9. V množině R řešte:

rovnice-vyssieho-stupna-9z.gif

Řešení:

rovnice-vyssieho-stupna-9r.gif


10. V množině C řešte:

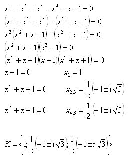
rovnice-vyssieho-stupna-10z.gif

Řešení:

rovnice-vyssieho-stupna-10r.gif


11. V množině Z řešte:

rovnice-vyssieho-stupna-11z.gif

Řešení:

Pokud rovnice s celočíselnými koeficienty má celočíselné kořeny, musí být tyto kořeny dělitelem absolutního člena..

rovnice-vyssieho-stupna-11r.gif


12. Řešte rovnici:

rovnice-vyssieho-stupna-12z.gif

Řešení:

rovnice-vyssieho-stupna-12r.gif


Videoprezentace jsou zdílené z portálu NAUČ SA MATIKU.
  • Hornerova schéma