sk|cz|en|

Wechselstrom

1.Erklären Sie die Begriffe der Effektivwerte von Wechselstrom und -spannung sowie die Leistung des Wechselstroms.

Lösung:

Messgeräte messen nicht die momentanen oder maximalen Werte von Strom und Spannung, sondern die „Effektivwerte“ von Strom und Spannung.
fyzika-vykon-striedaveho-prudu-1.gif


Leistung des Wechselstroms in einem Stromkreis mit einem Widerstand:

P=RIm2sin2(ωt),[P]=WP = R I_m^2 \sin^2 (\omega t), \qquad [P] = \text{W}

Leistung des Wechselstroms in einem Stromkreis mit Impedanz:

a) Wirkleistung des Wechselstroms

P=IUcosφ[P]=1 WP = I U \cos \varphi \qquad [P] = 1\,\text{W}

b) Blindleistung des Wechselstroms

PZ=IU[PZ]=1 V⋅AP_Z = I U \qquad [P_Z] = 1\,\text{V⋅A}

c) Scheinleistung des Wechselstroms

PQ=IUsinφ[PQ]=1 V⋅ArP_Q = I U \sin \varphi \qquad [P_Q] = 1\,\text{V⋅Ar}

I,U sind Effektivwerte (RMS-Werte).


Beziehung zwischen den einzelnen Leistungsanteilen des Wechselstroms:

PZ2=P2+PQ2P_Z^2 = P^2 + P_Q^2

Leistungsfaktor:

cosφ=PIU,0<φ<π2\cos \varphi = \frac{P}{I U}, \qquad 0 < \varphi < \frac{\pi}{2}

Wirkungsgrad eines Elektromotors:

η=P2P1100%\eta = \frac{P_2}{P_1} \cdot 100\% = \frac{U I \cos \varphi}{P_{Z2}} \cdot 100\

P1=Wirkleistung des elektrischen Stroms
P2=Leistung des Elektromotors


2.Ein Widerstand mit R = 20Ώ ist an eine Wechselspannungsquelle Uef = 24V und f = 50Hz angeschlossen. Stellen Sie die Gleichung für den momentanen Wert des Stroms im Stromkreis auf. Bestimmen Sie den Effektivwert des Stroms im Stromkreis.

Lösung:

Analyse:

R = 20Ώ,  Uef = 24V,  f = 50s-1,  Ief = ?

fyzika-vykon-striedaveho-prudu-2n.gif
 

  • Die Gleichung für den momentanen Wert des Stroms im Stromkreis lautet i = 1.7.sin(100π.t) [A].
  • Der Effektivwert des Stroms im Stromkreis ist Ief = 1.2A.

3.Bestimmen Sie die Zeitpunkte innerhalb einer Periode der Wechselspannung, zu denen die Momentanspannung der Effektivspannung entspricht.

Lösung:

fyzika-vykon-striedaveho-prudu-3.gif 

Die Momentanspannung ist gleich der Effektivspannung bei t1 = T/8 und t2 = 3T/8.


4.Die Wechselspannung hat einen Effektivwert von Uef = 156V. Bestimmen Sie die Amplitude der Spannung. Nach welcher Zeit seit dem Anfangszeitpunkt erreicht der momentane Wert der Wechselspannung den Effektivwert, wenn f = 50Hz ist?

Lösung:

Analyse:

Uef = 156V,  f = 50Hz = 50s–1,  Um = ?,  t = ?

fyzika-vykon-striedaveho-prudu-4.gif 

Der momentane Wert der Wechselspannung erreicht den Effektivwert nach t = 2.5ms.


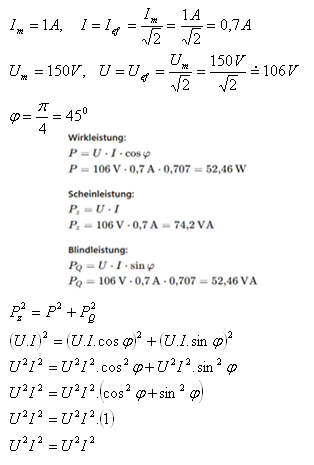
5.Für die momentanen Werte von Strom und Spannung in einem Wechselstromkreis gelten die folgenden Gleichungen: i = 1.sin(100π.t – π/4) [A] und u = 150.sin(100π.t) [V]. Bestimmen Sie die Wirkleistung, Scheinleistung und Blindleistung dieses Stroms. Zeigen Sie, dass gilt:

fyzika-vykon-striedaveho-prudu-5za.gif

Lösung:

ac-power-5-en


6.Berechnen Sie die Wirkleistung des Wechselstroms, der an eine Wechselspannungsquelle (U = 220V, f = 50Hz, cos φ = 0.8) angeschlossen ist, wenn der Stromkreis eine Last mit folgenden Eigenschaften enthält:

  • a.) Spule mit Induktivität L = 0.1H
  • b.) Kondensator mit Kapazität C = 10-3F
Bestimmen Sie, wie sich die Wirkleistung des Wechselstroms mit der Frequenz ändert.

Lösung:

Analyse:

U = 220V,  f = 50Hz,  cos φ = 0.8

a.) Spule mit Induktivität L = 0.1H

b.)  Kondensator mit Kapazität C = 10-3F

fyzika-vykon-striedaveho-prudu-6.gif 

  • Wenn eine Spule im Stromkreis angeschlossen ist und die Frequenz steigt, nimmt die Wirkleistung ab (f steht im Nenner).
  • Wenn ein Kondensator im Stromkreis angeschlossen ist und die Frequenz steigt, nimmt die Wirkleistung zu (f steht im Zähler).

7. Berechnen Sie den Strom, der durch einen einphasigen Wechselstrommotor fließt, wenn er eine Leistung von 5kW hat und an eine 220V-Versorgung angeschlossen ist. Der Leistungsfaktor des Motors beträgt 0.85 und sein Wirkungsgrad 80%.

Lösung:

Analyse:

P = 5000W,  U = 220V,  cosφ = 0.85,  η = 0.8

fyzika-vykon-striedaveho-prudu-7.gif 

Der Strom, der durch den einphasigen Motor fließt, ist I = 33.4A.


8. Bei einer Spannung von 48V beträgt der Strom im Stromkreis 6A. Die Wirkleistung im Stromkreis ist 200W. Berechnen Sie den Leistungsfaktor. Beurteilen Sie, wie sich die Wirkleistung des Geräts ändern würde, wenn der Leistungsfaktor auf 0.98 verbessert würde.

Lösung:

Analyse:

U = 48V,  I = 6A,  P1 = 200W,  φ1 = ?, cos φ2 = 0.98

 fyzika-vykon-striedaveho-prudu-8.gif

Die Wirkleistung erhöht sich um das 1.41-fache (um 41%). 


9. Eine Wechselspannung von 3000V mit f = 50Hz ist in Reihe mit einem Widerstand R = 40Ώ und einer Spule mit Induktivität L = 95·10-3H geschaltet. Bestimmen Sie den Strom im Stromkreis, die Phasenverschiebung zwischen Strom und Spannung und die Wirkleistung des Stroms.

Lösung:

Analyse:

U = 3000V,  f = 50Hz,  R = 40Ώ,  L = 95·10-3H,  I = ?, φ = ?,  P = ?

 fyzika-vykon-striedaveho-prudu-9.gif

Der Strom im Stromkreis ist I = 60A, die Phasenverschiebung φ = 36°53‘, und die Wirkleistung beträgt 1.44·105W.


10. Ein einphasiger Motor hat bei einer Spannung von 220V und einem Strom von 10A 5 Minuten lang gearbeitet. Der Stromzähler registrierte in dieser Zeit 0.125 kWh. Bestimmen Sie den Leistungsfaktor des Motors.

Lösung:

Analyse:

t = 5 min = 300s,  I = 10A,  U = 220V,  W = 0.125 kWh (1kWh = 3.6·106J) W = 0.125·3.6·106J = 0.45·106J

 

Der Leistungsfaktor des Motors ist cos φ = 0.68.


11.Die Spannung und der Strom in einer Spule ändern sich gemäß den Gleichungen u = 160.sin(100πt) (V) und i = 3.sin(100π – π/3) (A). Bestimmen Sie die Effektivwerte der Spannung und des Stroms im Stromkreis, den Leistungsfaktor und die Wirkleistung.

Lösung:

vykon-striedaveho-prudu-11.gif

Die Wirkleistung im Wechselstromkreis beträgt W = 120 W.


12.Ein Widerstand mit 20Ω ist an eine Wechselspannungsquelle mit Uef = 24V und Frequenz f = 50Hz angeschlossen. Schreiben Sie die Gleichung für den Momentanwert des Stroms im Stromkreis. Berechnen Sie den Momentanstrom zum Zeitpunkt 0,001 s.

Lösung:

vykon-striedaveho-prudu-12.gif


13.Eine Wechselspannung hat einen Effektivwert Uef = 156V. Bestimmen Sie die Amplitude der Spannung. Nach welcher Zeit ab dem Anfangsmoment erreicht der Momentanwert der Wechselspannung den Effektivwert, wenn f = 50Hz? Im Anfangsmoment ist der Wert der Wechselspannung null.

Lösung:

vykon-striedaveho-prudu-13.gif
Er erreicht den Effektivwert nach 2,5 Millisekunden und 7,5 Millisekunden usw.


14.Sei P die Wirkleistung des Wechselstroms, PZ die Scheinleistung und PQ die Blindleistung. Zeigen Sie, dass Folgendes gilt:

vykon-striedaveho-prudu-14z.gif

Lösung:

vykon-striedaveho-prudu-14r


15.Auf dem Typenschild eines Elektromotors steht U = 230V, I = 20A, cosφ = 0.6. Berechnen Sie die Wirkleistung, Scheinleistung und Blindleistung und führen Sie eine Kontrolle durch.

Lösung:

vykon-striedaveho-prudu-15.gif
P = 2760W, PZ = 4600 VA, PQ = 3680 VA.


16.Für die Momentanwerte der Spannung und des Stroms in einem Wechselstromkreis gilt:

vykon-striedaveho-prudu-16z

  • a.) Berechnen Sie die Frequenz des Wechselstroms
  • b.) Berechnen Sie die Wirkleistung des Wechselstroms
  • c.) Bestimmen Sie, ob der Stromkreis induktive oder kapazitive Eigenschaften hat.

Lösung:

vykon-striedaveho-prudu-16r

c.) Der Stromkreis hat kapazitive Eigenschaften, weil φ = π/3 > 0.


17.Wie ändert sich die Wirkleistung eines Wechselstroms in einem Gerät, wenn die Frequenz zunimmt und das Gerät induktive Eigenschaften hat?

Lösung:

vykon-striedaveho-prudu-17.gif
Wenn die Frequenz steigt, nimmt die Wirkleistung ab, da der Zusammenhang zwischen Frequenz und Leistung umgekehrt proportional ist.


18.Wie ändert sich die Wirkleistung eines Wechselstroms in einem Gerät, wenn die Frequenz zunimmt und das Gerät kapazitive Eigenschaften hat?

Lösung:
vykon-striedaveho-prudu-18

Wenn die Frequenz steigt, steigt auch die Wirkleistung, da der Zusammenhang zwischen Frequenz und Leistung direkt proportional ist.


19.Die Wirkleistung eines Kraftwerks beträgt bei einer Spannung von 6kV und cosφ = 1, P = 3 MW. Berechnen Sie, wie sich der Strom ändert, wenn der Leistungsfaktor auf cosφ = 0.8 sinkt.

Lösung:

 vykon-striedaveho-prudu-19.gif

Der elektrische Strom erhöht sich um das 1,25-Fache, d. h. um 25%.


20.Welche Kapazität muss ein Kondensator haben, der in Reihe mit einer Glühbirne mit Nennspannung U/ = 12V und Leistung 60W geschaltet ist, damit wir die Birne an eine Spannung von U = 240V und Frequenz 50Hz anschließen können und sie mit voller Helligkeit leuchtet?

vykon-striedaveho-prudu-20z
Lösung:

vykon-striedaveho-prudu-20r
Der Kondensator muss eine Kapazität von C = 66,3 μF haben.