cz|en|de|

Práca a výkon elektického prúdu

1.Uveďte základné vzťahy pre výpočet práce a výkonu v obvode jednosmerného prúdu.

Riešenie:

fyzika-praca-a-vykon-elektickeho-prudu-1.gif


2.Príkony dvoch vykurovacích teliesok sú P1 = 18W, P2 = 24W pri napätí U = 12V. Aký príkon budú mať obidve telieska, zapojené na to isté napätie 12V, ak ich spojíme:

  • a) paralelne
  • b) sériovo

Riešenie:

Rozbor:

P1 = 18W,  P2 = 24W,  U = 12V, R1 = ?, R2 =?,  P = ?,  P‘ =?

fyzika-praca-a-vykon-elektickeho-prudu-2.gif 

  • Pri paralelnom zapojení teliesok bude príkon 42W
  • Pri sériovom 10,28W.


3.Z nikelínového drôtu (ρ = 0,44.10-6Ώ.m) s priemerom d = 0,5mm sa má zhotoviť výhrevná špirála, v ktorej by pri napätí 120V vzniklo 1667 kJ tepla za 1 hodinu. Aký dlhý drôt je na to potrebný?

Riešenie:

Rozbor:

fyzika-praca-a-vykon-elektickeho-prudu-3.gif 

Na zhotovenie výhrevnej špirály je potrebný drôt dlhý 14m.


4.Elektrický vankúš pripojený na najvyšší stupeň vyhrievania má pri napätí U = 220V príkon P = 15W. Aký je odpor vankúša? Aký prúd ním prechádza? Koľko elektrickej energie spotrebuje za 10 hodín prevádzky?

Riešenie:

Rozbor:

fyzika-praca-a-vykon-elektickeho-prudu-4.gif 

Odpor vankúša je 3,2kΏ, prúd 68mA a za 10 hodín spotrebuje 0,15 kWh elektrickej energie.


5.Koľko ampérovú poistku treba zapojiť na ochranu elektrického vedenia, v ktorom pri napätí 220V je paralelne zapojených 10 žiaroviek 100W/220V.

Riešenie:

Rozbor:

U = 220V,  P = 100W,  n = 10,  I = ?

fyzika-praca-a-vykon-elektickeho-prudu-5.gif 

Do elektrického vedenia treba zapojiť 5A poistku.


6.K plochej batérii s Ue = 4,5V a Ri = 1Ώ je pripojená žiarovka s odporom R = 9Ώ. Určite celkový výkon batérie Pz, užitočný výkon vo vonkajšom obvode (príkon žiarovky P) a účinnosť prenosu energie z batérie na žiarovku.

Riešenie:

Rozbor:

Ue = 4,5V,   Ri = 1Ώ,  R = 9Ώ,  PZ = ?,  η = ?

 fyzika-praca-a-vykon-elektickeho-prudu-6.gif

Účinnosť prenosu energie z batérie na žiarovku je η = 90.


7.Aký prúd prechádza elektrickým varičom, ak sa na ňom 10 litrov vody ohreje z 200C na 1000C za 30 minút? Účinnosť variča je 75%, napätie v sieti je 230V.(c = 4180 J.kg-1K-1)

Riešenie:

Rozbor:

m = 10kg,  Δt = 800C = 80K,  U = 230V,  τ = 30min = 1800s,  η = 0,75, c = 4180 J.kg-1K-1

 fyzika-praca-a-vykon-elektickeho-prudu-7.gif

Elektrickým varičom prechádza prúd asi 11A


8.Výťah o hmotnosti 1,2 tony sa za 0,5 min. dostal do výšky 15m. Napätie na svorkách elektromotora, ktorý dvíhal výťah je 230V (η = 90%) Určite prúd prechádzajúci elektromerom!

Riešenie:

Rozbor:

m = 1200kg,  t = 30s,  h = 15m,  U = 230V,  η = 90% = 0,9,  I = ?

fyzika-praca-a-vykon-elektickeho-prudu-8.gif 

Elektromerom prechádza prúd I = 29A.


9.V obvode sú zapojené tri ploché rovnaké batérie, každá s Ue = 4,5V a Ri = 1,5Ώ. Vonkajší odpor zapojený do obvodu je R = 10Ώ. Určite výkon elektrického prúdu vo vonkajšom obvode, ak sú batérie zapojené

  • a.) sériovo
  • b.) paralelne

Riešenie:

Rozbor:

Ue = 4,5V a Ri = 1,5Ώ,  R = 10Ώ,  n = 3,  P1 = ?,  P2 = ?

fyzika-praca-a-vykon-elektickeho-prudu-9.gif 

  • Pri sériovom zapojení batérií P1 = 8,67W
  • pri paralelnom P2 = 1,84W.

10.Keď na daný zdroj Ue zapojíme spotrebič s R1 = 5Ώ je príkon spotrebiča rovnaký, ako príkon spotrebiča s R2 = 0,2Ώ zapojeného na ten istý zdroj. Určite vnútorný odpor zdroja Ri a pre každý spotrebič aj jeho účinnosť.

Riešenie:

Rozbor:

R1 = 5Ώ,  R2 = 0,2Ώ,  Ri = ?,  η1= ?,  η2= ?, 

fyzika-praca-a-vykon-elektickeho-prudu-10.gif


11.Sviečka na vianočný stromček má príkon P = 8,9 W a odpor R = 20Ώ. Koľko sviečok možno zapojiť sériovo na napätie U/ = 220 V.

Riešenie:

praca-a-vykon-elektrickeho-prudu-11.gif 

Na vianočný stromček môžeme sériovo zapojiť 16 sviečok.


12. V obchodoch možno kúpiť varič na napätie U = 220V s príkonmi P1 = 300W,  P2 = 900W. Aké odpory zodpovedajú jednotlivým príkonom. V treťom variči sú odpory R1 a R2 zapojené paralelne.

Riešenie:

praca-a-vykon-elektrickeho-prudu-12 

K daným príkonom zodpovedajú odpory R1 = 161,33Ώ, R2 = 53,77Ώ, a R3 = 40,33 Ώ.


13.Na sieť 220 V sú do série zapojené dve žiarovky jedna 25 W, druhá 100 W. Zistite aké je napätie na každej žiarovke.

Riešenie:

praca-a-vykon-elektrickeho-prudu-13 

Napätie na žiarovkách je U1 = 44V a U2 = 176V.


14.Aký prúd prechádza malým ponorným varičom s údajmi 220V/ 500W. Za aký čas zohreje tento varič 1kg vody z 100C na 1000C. ( Straty neuvažujte )

Riešenie:

praca-a-vykon-elektrickeho-prudu-14 

Malým ponorným varičom prechádza prúd I = 2,27A.  Voda sa zohreje za τ = 12,55 minúty.


15. Pri odchode z domu ste zabudli vypnúť 100W žiarovku. Zbytočne svietila 24 hodín. Koľko elektrickej energie spotrebovala. Určite hmotnosť vody, ktorá by sa využitím tejto energie dala vyčerpať čerpadlom do výšky 10 m.

Riešenie:

praca-a-vykon-elektrickeho-prudu-15 

Žiarovka zbytočne spotrebovala  W = 8,64.106 J elektrickej energie. Využitím tejto energie sa dá vyčerpať m = 8,64.104 kg vody.  


16.K akumulátoru s elektromototickým napätím Ue = 10V a vnútorným odporom Ri = 1Ώ je pripojený rezistor. Výkon elektrického prúdu v rezistore je P = 9 W. Určite svorkové napätie akumulátora.

Riešenie:

praca-a-vykon-elektrickeho-prudu-16 

Svorkové napätie akumulátora. je U1 = 9 V, alebo U2 = 1 V. Vo vonkajšom obvode je zapojený rezistor R1 = 9 Ώ, alebo R2 = 1/9 Ώ.


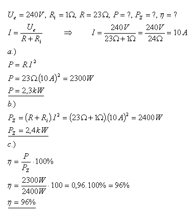
17.Na elektrický zdroj s Ue = 240 V a Ri = 1 Ώ je zapojený spotrebič  s elektrickým odporom R = 23 Ώ. Vypočítajte:

  • a.) výkon spotrebiča ( príkon )
  • b.) výkon zdroja
  • c.) účinnosť zdroja

Riešenie:

 praca-a-vykon-elektrickeho-prudu-17

Výkon spotrebiča je P = 2,3 kW, výkon zdroja je Pz = 2,4 kW a účinnosť zdroja je η = 96%.


18.Dve rovnaké žiarovky s rovnakým príkonom P1 = P2 = 60W sú zapojené na napätie U = 220 V. Žiarovky sú:

  • a.) spojené do série
  • b.) spojené paralelne. Vypočítajte Joulovo teplo v obidvoch prípadoch, ak žiarovky svietili 10 min.

Riešenie:

praca-a-vykon-elektrickeho-prudu-18


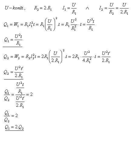
19.Železný drôt má dvakrát väčší odpor ako je odpor medeného drôtu. V ktorom z drôtov sa vyvíja viac tepla pri zapojení vodičov paralelne na sieť so stálym napätím? R(Cu) = R1,  R(Fe) = R2

Riešenie:

praca-a-vykon-elektrickeho-prudu-19 

V medenom drôte sa vyvinie dvakrát viac tepla ako v železnom.


20.Železný drôt má dvakrát väčší odpor ako je odpor medeného drôtu. V ktorom z drôtov sa vyvíja viac tepla pri zapojení vodičov sériovo na sieť so stálym napätím? R(Cu) = R1,  R(Fe) = R2

Riešenie:

 praca-a-vykon-elektrickeho-prudu-20

V medenom vodiči sa vyvinie dvakrát menej tepla ako v železnom.