cz|en|de|

Elektromagnetický oscilátor

1. Uveďte zloženie a vlastnosti elektromagnetického oscilátora.

Riešenie:

Elektromagnetický oscilátor je obvod striedavého prúdu s cievkou (indukčnosť) a s kondenzátorom (kapacita ). Volá sa tiež oscilačný obvod alebo obvod LC. V oscilačnom obvode sa periodicky premieňa elektrická energia na magnetickú energiu a opačne. V oscilačnom obvode vzniká elektromagnetické kmitanie. Pre frekvenciu elektromagnetického oscilátora (vlastné kmitanie oscilátora) platí Thomsonov vzťah:

fyzika-elektromagneticky-oscilator-1.gif


2.Ako sa bude meniť frekvencia kmitania oscilačného obvodu, keď budeme platne kondenzátora v oscilačnom obvode navzájom približovať?

Riešenie:

 fyzika-elektromagneticky-oscilator-2.gif

Ak budeme platne kondenzátora v oscilačnom obvode navzájom približovať, d sa bude zmenšovať, C zväčšovať a frekvencia f sa bude zmenšovať.


3.Oscilačné obvody majú parametre: 

 fyzika-elektromagneticky-oscilator-3z.gif

Ktorý obvod kmitá s vyššou frekvenciou?

Riešenie:

Rozbor:

fyzika-elektromagneticky-oscilator-3.gif

Obidva oscilačné obvody kmitajú s rovnakými frekvenciami f1 = f2 = 6,3 MHz.


4.Oscilačný obvod tvorí kondenzátor s kapacitou C = 10μF a cievka s meniteľnou indukčnosťou. V akom intervale sa musí meniť indukčnosť cievky, aby sa frekvencia vlastného kmitania oscilačného obvodu menila v intervale od 400Hz do 500Hz?

Riešenie:

Rozbor:

fyzika-elektromagneticky-oscilator-4.gif 

Indukčnosť cievky sa musí meniť od L1 = 16mH do L2 = 10mH.


5.Oscilačný obvod sa skladá z cievky s indukčnosťou L = 3mH a platňového kondenzátora , ktorého platne majú tvar diskov s polomerom 1,2cm. Vzájomná vzdialenosť platní je 0,3mm. Určite periódu oscilačného obvodu. Ako sa zmení perióda obvodu, ak medzi platne kondenzátora vložíme dielektrikum s εr = 4?

Riešenie:

Rozbor:

fyzika-elektromagneticky-oscilator-5.gif 

Ak medzi platne kondenzátora vložíme dielektrikum s εr = 4, perióda obvodu sa zdvojnásobí.


6.K cievke so stálou indukčnosťou L pripojíme kondenzátor s kapacitou C1. Zistíme, že oscilátor kmitá s vlastnou frekvenciou f1 = 100kHz. Ak pripojíme k tejto cievke kondenzátor s kapacitou C2, bude oscilátor kmitať s vlastnou frekvenciou f2 = 160kHz. Akú vlastnú frekvenciu bude mať oscilátor, ak k cievke pripojíme obidva kondenzátory spojené

  • a) paralelne
  • b) sériovo

Riešenie:

Rozbor:

f1 = 100kHz = 105s-1,  f2 = 160kHz = 1,6.105s-1

 fyzika-elektromagneticky-oscilator-6.gif 


7.Napätie na platniach kondenzátora v oscilačnom obvode sa mení podľa rovnice u = 50cos (104π.t) (V). Kapacita kondenzátora je C = 0,1μF. Vypočítajte periódu kmitania obvodu T a napíšte rovnicu pre okamžitú hodnotu prúdu.

Riešenie:

elektromagneticky-oscilator-7 

  • Perióda kmitania obvodu je T = 0,2.10–3s.
    Rovnica pre okamžitú hodnotu prúdu je  i = 0,157sin (104π.t) (A) .


8.Oscilačný obvod tvorí kondenzátor s kapacitou C = 24nF a cievka s indukčnosťou L = 0,6H. V začiatočnom okamihu je kondenzátor nabitý na napätie Umax = 50V. Napíšte rovnicu pre okamžitú hodnotu prúdu v obvode.

Riešenie:

elektromagneticky-oscilator-8


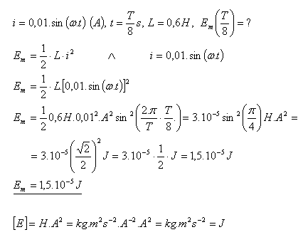
9.Okamžitá hodnota prúdu v oscilačnom obvode je daná rovnicou i = 0,01.sin (ω t)  (A). Vypočítajte energiu magnetického poľa cievky pre čas t = T/8 s. V oscilačnom okruhu je zapojená cievka s indukčnosťou
L = 0,6H.

Riešenie:

elektromagneticky-oscilator-9 

Energia magnetického poľa cievky je Em = 1,5.10–5J.


10.Okamžitá hodnota napätia v oscilačnom obvode je daná rovnicou u = 50. cos (ω.t) (V). Vypočítajte energiu elektrického poľa kondenzátora s kapacitou C = 24nF pre čas t = T/8 s.

Riešenie:

 elektromagneticky-oscilator-10

Energia elektrického poľa kondenzátora je Ee = 1,5.10–3J.


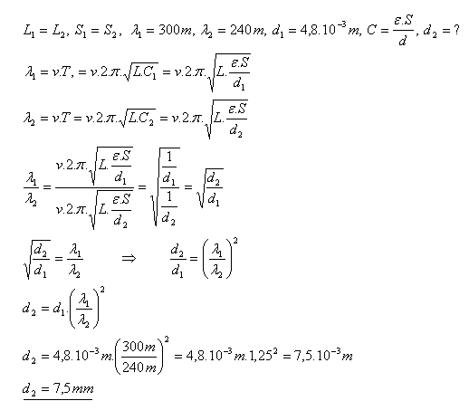
11.Oscilačný obvod v ktorom je zapojená cievka (L) a doskový kondenzátor (C1), so vzdialenosťou dosák
d1 = 4,8 mm, je naladený na vlnovú dĺžku  λ1 = 300m. Ako treba zmeniť vzdialenosť medzi doskami kondenzátora,  aby oscilačný obvod bol naladený na vlnovú dĺžku λ2 = 240m?

Riešenie: 

elektromagneticky-oscilator-11

Vzdialenosť medzi doskami kondenzátora treba zväčšiť na 7,5mm.


12.Kapacita kondenzátorov oscilačného obvodu rozhlasového prijímača sa   môže meniť od C1 = C do C2 = 9C. Určite rozsah vlnových dĺžok prijímača, ak minimálnej kapacite C1 kondenzátora zodpovedá λ1 = 3m.
(L1 = L2 = L)

Riešenie:

 elektromagneticky-oscilator-12

Rozsah vlnových dĺžok prijímača je od 3m do 9m.


13. Oscilačný obvod, ktorého kapacita je C = 4μF, má frekvenciu f1 = 200Hz. Ak ku kondenzátoru paralelne priradíme ďalší kondenzátor s kapacitou Cx, klesne vlastná kapacita na f2 = 100Hz. Vypočítajte kapacitu pridaného kondenzátora Cx.

Riešenie:

 elektromagneticky-oscilator-13

 Kapacita pridaného kondenzátora je Cx = 12μF.


14.V oscilačnom obvode sú zapojené sériovo kondenzátor (C = 0,01μF), cievka  (L = 0,1H) a rezistor (R = 1000Ώ). Aký je pomer frekvencií obvodu s odporom a bez odporu.

C = 10-8F,  L = 10-1H, R = 103Ώ, f1 = ?,  f2 = ?

Riešenie:

Bez odporu:                                             S odporom:

elektromagneticky-oscilator-14