cz|en|de|

Určitý integrál - Leibnitz a Newtonova metóda

1. Aké vlastnosti má určitý integrál?

Riešenie:

Leibniz – Newtonová formula:

Nech funkcia f(x) je spojitá v intervale <a,b>, (kde a je dolná a b horná hranica intervalu ). Potom platí Leibniz – Newtonová formula:

urcity-integral-leibniz–newtonova-metoda-1


2.Vypočítajte integrály:

urcity-integral-leibniz–newtonova-metoda-2.gif 

Riešenie:

urcity-integral-leibniz–newtonova-metoda-2.gif 


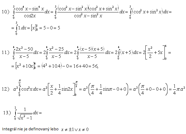
3. Vypočítajte integrály:

urcity-integral-leibniz–newtonova-metoda-3z

Riešenie:

urcity-integral-leibniz–newtonova-metoda-3r  


4.Vypočítajte integrály:

urcity-integral-leibniz–newtonova-metoda-4z

Riešenie:

urcity-integral-leibniz–newtonova-metoda-4r