cz|en|de|

Určitý integrál vo fyzike

1.Častica sa pohybuje priamočiaro so zrýchlením a = 2,6 m.s-2. Určite rovnicu rýchlosti a rovnicu dráhy (ak v0 = 0, s0 = 0). Vypočítajte rýchlosť a dráhu pohybu v čase t = 2s.

Riešenie:

urcity-integral-vo-fyzike-1


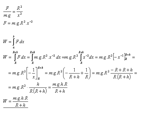
2.Určite prácu , ktorú musíme vykonať pri predĺžení pružiny o 25 cm z nenapnutého stavu, ak viete, že sila 16 N, rovnobežná s osou pružiny ju predĺži o 80 cm.

Riešenie:

F = 16 N, x = 80 cm = 0.8 m, a = 0, b = 25 cm = 0,25 m.

Sila F je priamo úmerná predĺženiu x

urcity-integral-vo-fyzike-2


3.Určite efektívnu hodnotu striedavého sínusového prúdu

urcity-integral-vo-fyzike-3z

Riešenie:

urcity-integral-vo-fyzike-3r


4.Špirálou variča s odporom R prechádza striedavý elektrický prúd s maximálnou hodnotou Imax. Odvoďte vzorec pre výpočet množstva Jouleovo tepla. Okamžitý prúd je: i = Imaxsin ωt.

Riešenie:

urcity-integral-vo-fyzike-4


5.Akú dráhu prejde teleso, ktoré sa pohybuje rýchlosťou veľkosti v =  At2 + Bt + C za prvých 10 sekúnd od začiatku pohybu, ak platí :

  • A = 3ms-1
  • B = 1ms-1
  • C = –1ms-1

Riešenie:

urcity-integral-vo-fyzike-5 

Teleso za 10 sekúnd prejde dráhu 1040 metrov.


6.Vypočítajte dráhu dažďovej kvapky za prvých 6 sekúnd.  Odpor vzduchu zanedbajte.

Riešenie:

urcity-integral-vo-fyzike-6 

Kvapka vody za 6 sekúnd preletí 176,58m.


7. Akú prácu treba vykonať, aby teleso o hmotnosti m zväčšilo svoju rýchlosť z v1 na v2?

Riešenie:

urcity-integral-vo-fyzike-7 

Pre zväčšenie rýchlosti telesa treba vykonať prácu W = 9J.


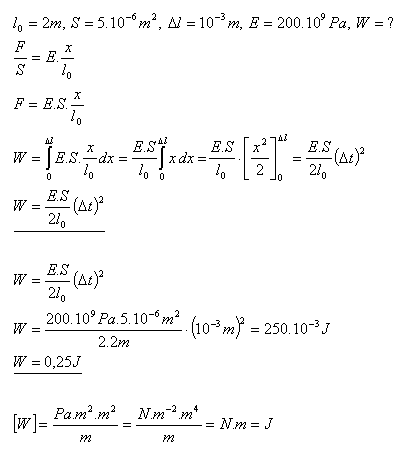
8.Akú prácu vykoná vonkajšia sila pri predĺžení oceľovej tyče z dĺžky l0 = 2m a obsahom prierezu
S = 5mm2 pružnou deformáciou o 1 mm?

Riešenie:

urcity-integral-vo-fyzike-8 

Vonkajšia sila pri predĺžení oceľovej tyče vykoná prácu W = 0,25J.


9.Vypočítajte prácu, ktorú treba vykonať pri zdvihnutí telesa o hmotnosti m do výšky h nad povrch Zeme. Použite vzťah:

urcity-integral-vo-fyzike-9z

Riešenie:

urcity-integral-vo-fyzike-9r 

Práca potrebná na zdvihnutie telesa do výška h nad povrch Zeme je :

urcity-integral-vo-fyzike-9r2


10. Za aký čas voda, naliata vo valcovej nádobe s obsahom dna S = 420cm2 a výškou vody h = 40cm vytečie cez otvor  na dne. Otvor má obsah s = 2cm2. Pre výtokovú rýchlosť platí:

  • v = μ.s.(2.g.x)1/2

Riešenie:

 

urcity-integral-vo-fyzike-10

Voda vytečie za 100 sekúnd.


11.Vypočítajte súradnice ťažiska štvorca, ktorý má stranu a = 6 cm.

Riešenie:

urcity-integral-vo-fyzike-11

 

Ťažisko štvorca má súradnice T = [3 ; 3]


12.Vypočítajte súradnice ťažiska rovinného útvaru, ktorý je ohraničený funkciou:

  • f(x) = y = x3, pre  x e <0 ,1>

Riešenie:

urcity-integral-vo-fyzike-12a


13. Vypočítajte súradnice ťažiska rovinného útvaru,  ktorý je ohraničený: 

  • parabolou y = x2
  • a priamkami y = 0,  x = 1.

Riešenie:

urcity-integral-vo-fyzike-13a


14.Určite súradnice trojuholníka ΔABO, ktorý vytvára 

  • priamka y = –x + 6 v súradnicovej sústave. A[6 , 0],  B[0 ,6],  O[0, 0]

Riešenie:

urcity-integral-vo-fyzike-14a


15. Zistite súradnice ťažiska rovinného útvaru, ktorý je ohraničený krivkou:

  • a2y = bx2 pre x je z < 0 ; a >

Riešenie:

urcity-integral-vo-fyzike-15a