cz|en|de|

Kocka, kváder, hranol a valec

1. Uveďte základné vzťahy pre výpočet objemu a povrchu:

  • kocky
  • kvádra
  • hranola
  • valca
Riešenie:

Kocka

a – hrana kocky

objem V = a3

obsah S = 6a2

kocka1a

Kváder

a, b, c – hrany kvádra

objem V = a.b.c

obsah S = 2(ab+ac+bc)

kocka1b

Hranol

Sp – obsah podstavy
Q – obsah plášťa
v – výška hranola

objem V = Sp.v

obsah S = 2Sp + Q

Valec

r – polomer podstavy
v – výška valca

objem V = π.r2.v

obsah S = 2πr(r+v)

Q = 2πrv

2. Dve debničky tvaru kocky s hranami a = 70 cm, b = 90 cm treba nahradiť jednou debničkou tvaru kocky.

Aká bude jej hrana?
Riešenie:

kocka2

Hrana náhradnej kocky bude c = 102,3 cm.

3. Hrana druhej kocky je o 2 cm väčšia, ako hrana prvej kocky. Rozdiel objemov kociek je 728 cm3.

Vypočítajte veľkosti hrán obidvoch kociek.
Riešenie:

Hrana prvej kocky: x
Hrana druhej kocky: x + 2

kocka3

Hrana prvej kocky je 10 cm, druhej 12 cm.

4. Daná je kocka o hrane a. Známe hodnoty sú v tabuľke.

Doplňte tabuľku!

kocka4
Riešenie:

kocka4r

5. Hrany dvoch kociek sa líšia o 22 cm. Ich povrchy sa líšia o 19272 cm2.

Určite hrany obidvoch kociek.
Riešenie:

x – hrana prvej kocky
y – hrana druhej kocky

kocka5

Hrany kociek sú x = 84 cm a y = 62 cm.


6. Kváder má rozmery a = 4 cm, b = 3 cm, c = 5 cm.

Vypočítajte uhol α medzi podstavovou a telesovou uhlopriečkou.
Riešenie:

kocka6

Uhol medzi uhlopriečkami je α = 45°.

7. Povrch kvádra je S = 376 cm2. Pre jeho hrany platí a:b:c = 3:4:5.

Vypočítajte objem tohto kvádra.
Riešenie:

kocka7

Objem kvádra je V = 480 cm3.

8. Vo vodojeme tvaru kvádra je 1500 hl vody, výška vody je 2,5 m.

Určite rozmery dna, ak jeden rozmer je o 4 m väčší, ako druhý.
Riešenie:

kocka8
Rozmery dna vodojemu sú a = 6 m, b = 10 m.

9. Vypočítajte objem kvádra, ak jeho podstava má S1 = 272 cm2 a bočné steny S2 = 240 cm2, S3 = 255 cm2.

Riešenie:

kocka9

Objem kvádra je 4080 cm3.

10. Akú hmotnosť má železná tyč (ρ = 7800 kg.m-3) 1,5 metrov dlhá, ktorej prierezom je štvorec so stranou a = 45 mm?

Riešenie:

kocka10

Hmotnosť železnej tyče je asi M = 23,7 kg.

11. Podstava kolmého trojbokého hranola je pravouhlý trojuholník s odvesnami a = 9 cm,  b = 12 cm. Výška hranola je dvojnásobok prepony pravouhlej podstavy hranola.

Vypočítajte objem a povrch hranola.
Riešenie:

kocka11

Trojboký hranol má objem V = 1620 cm3 a povrch S = 1188 cm2.

12. Koľko zeminy treba premiestniť pri výkope priamej 170 m dlhej priekopy, ktorej prierez je rovnoramenný lichobežník so základňami a = 150 cm, c = 80 cm a výškou v = 83 cm?

Riešenie:

l = 170 m = 17000 cm

kocka12

Treba premiestniť asi 162,3m3 zeminy.

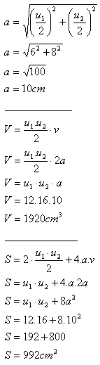
13. Vypočítate objem a povrch hranola, ktorého podstava je kosoštvorec s uhlopriečkami u1 = 12 cm, u2 = 16 cm. Výška hranola sa rovná dvojnásobku podstavovej hrany.

Riešenie:

kocka13

Objem hranola je V = 1920 cm3, jeho povrch je S = 992 cm2.

14. V tabuľke sú veličiny charakterizujúce rôzne valce.

Doplňte tabuľku!

kocka14
Riešenie:

kocka14r

15. Plášť rotačného valca rozvinutý do roviny je štvorec s obsahom a2 = 81 cm2.

Určite polomer podstavy r, výšku valca v a jeho objem V.
Riešenie:

kocka15

Valec má polomer podstavy r = 1,433 cm, výšku v = 9 cm a objem V = 58,03 cm3.

16. Rovnostranný valec (v = 2r) má objem V = 250 cm3.

Vypočítajte povrch tohto telesa.
Riešenie:

kocka16

Povrch tohto valca je S = 219 cm2.

17. Hliníkový drôt (ρ = 2,7 g.cm-3) s priemerom d = 3 mm má celkovú hmotnosť m = 1,909 kg.

Určite dĺžku drôtu l.
Riešenie:

kocka17

Dĺžka hliníkového drôtu je približne 100m.

18. Vonkajší obvod mosadznej rúrky (ρ = 8,5 g.cm-3) je 31,4 cm. Jej hmotnosť je 3,14 kg a dĺžka je 60 cm.

Aká je hrúbka steny rúrky?
Riešenie:

O = 31,4 cm
v = 60 cm
m = 3140 kg
ρ = 8,5 kg.cm-3
hrúbka rúrky = x

V úlohe ide o objem dutého valca s podstavou medzikružia.

kocka18

Hrúbka steny rúrky je x = 0,2 cm.